• Việt Nam công bố 20 Tiêu chuẩn quốc gia về Điện gió ngoài khơi

    Việt Nam công bố 20 Tiêu chuẩn quốc gia về Điện gió ngoài khơi

    Ngày 26/09/2025, được sự chấp thuận và hỗ trợ của Văn phòng Dịch vụ Dự án thuộc Liên Hợp Quốc (UNOPS), Quỹ Đối tác Chuyển dịch Năng lượng Đông Nam Á (ETP) và Uỷ ban Tiêu chuẩn Đo lường Chất lượng Quốc gia (STAMEQ) trực thuộc Bộ Khoa học và Công nghệ (MOST), Hội nghị chuyên đề Báo cáo kết quả triển khai dự án và công bố 20 Tiêu chuẩn quốc gia (TCVN) về điện gió ngoài khơi tại Việt Nam đã được tổ chức tại The Hanoi Club Hotel & Residences, 76 Yên Phụ, Hà Nội, với hình thức trực tiếp và trực tuyến, bằng cả Tiếng Việt và Tiếng Anh (có phiên dịch).
  • Kỳ 2: Từ phòng thí nghiệm tới doanh nghiệp - những công nghệ mới giúp nông sản Việt vươn xa

    Kỳ 2: Từ phòng thí nghiệm tới doanh nghiệp - những công nghệ mới giúp nông sản Việt vươn xa

    Nếu ở Kỳ 1, độc giả đã thấy những định hướng chiến lược và công nghệ xanh mở ra lối đi mới cho nông nghiệp Việt, thì đến Kỳ 2, điểm nhấn lại nằm ở những giải pháp cụ thể. Từ phòng thí nghiệm, nhiều nghiên cứu khoa học đã bước ra thực tiễn, đồng hành cùng doanh nghiệp, tạo nên các mô hình thành công: từ công nghệ bảo quản mới, chế biến cà phê hiện đại, đến kinh tế tuần hoàn phụ phẩm tôm và nâng tầm sản phẩm truyền thống như nước mắm. Đây chính là những hạt nhân giúp nông sản Việt gia tăng giá trị và chinh phục thị trường quốc tế.
  • Học sinh Chu Văn An sáng chế máy gieo hạt tự động, kiến tạo nông nghiệp tương lai

    Học sinh Chu Văn An sáng chế máy gieo hạt tự động, kiến tạo nông nghiệp tương lai

    Với khát khao ứng dụng kiến thức vào thực tiễn và tinh thần đổi mới sáng tạo, hai học sinh lớp 12I2, Trường THPT Chuyên Chu Văn An, Phạm Nhật Long và Nguyễn Hoàng Ngọc Thạch đã xuất sắc nghiên cứu, cải tiến thành công máy gieo hạt thủ công thành một thiết bị bán tự động thông minh, thân thiện với môi trường, hứa hẹn góp phần thúc đẩy quá trình cơ giới hóa trong nông nghiệp Việt Nam.
  • Khai mạc Hội nghị Khoa học công nghệ bảo quản, chế biến nông lâm thuỷ sản và cơ giới hoá nông nghiệp toàn quốc năm 2025

    Khai mạc Hội nghị Khoa học công nghệ bảo quản, chế biến nông lâm thuỷ sản và cơ giới hoá nông nghiệp toàn quốc năm 2025

    Sáng 12/9, tại Hà Nội, Viện Cơ điện nông nghiệp và Công nghệ sau thu hoạch phối hợp cùng Hội Khoa học và Công nghệ Lương thực thực phẩm Việt Nam và Hội Cơ khí nông nghiệp Việt Nam tổ chức Hội nghị Khoa học công nghệ bảo quản, chế biến nông lâm thuỷ sản và cơ giới hoá nông nghiệp toàn quốc năm 2025. Hội nghị có ý nghĩa thiết thực, quy tụ các nhà khoa học, nhà quản lý, doanh nghiệp và các tổ chức quốc tế, cùng nhau chia sẻ các kết quả nghiên cứu khoa học, đánh giá thực trạng và đề xuất các giải pháp đột phá trong chế biến, bảo quản, cơ giới hóa.
  • ThS. Lưu Hải Âu: Vượt khó, đổi mới sáng tạo và khát vọng phát triển hệ sinh thái không người lái bầy đàn (Kỳ 2)

    ThS. Lưu Hải Âu: Vượt khó, đổi mới sáng tạo và khát vọng phát triển hệ sinh thái không người lái bầy đàn (Kỳ 2)

    Nếu như trong Kỳ 1, ThS. Lưu Hải Âu, Giám đốc Trung tâm Tin học Trắc địa và Bản đồ (Viện Khoa học Đo đạc và Bản đồ - Bộ Nông nghiệp và Môi trường) đã chia sẻ về hành trình khởi nguồn và những mốc nghiên cứu tiêu biểu đưa công nghệ UAV từ thiết bị đơn lẻ đến hệ sinh thái không người lái bầy đàn, thì ở Kỳ 2 này, ông tiếp tục trao đổi về những khó khăn trong quá trình nghiên cứu, các giải pháp để vượt thách thức, niềm vui và động lực để bền bỉ theo đuổi con đường khoa học. Đồng thời, ThS. Lưu Hải Âu cũng đưa ra kỳ vọng cho tương lai, những hướng nghiên cứu mới và ý nghĩa nhân văn sâu sắc của việc ứng dụng robot hóa, số hóa trong nông nghiệp, môi trường và ứng phó thiên tai.
  • 933 ứng viên được đề nghị xét công nhận giáo sư, phó giáo sư năm 2025

    933 ứng viên được đề nghị xét công nhận giáo sư, phó giáo sư năm 2025

    Hội đồng Giáo sư nhà nước vừa công bố danh sách 933 ứng viên được các hội đồng giáo sư cơ sở đề nghị xét công nhận đạt tiêu chuẩn chức danh giáo sư, phó giáo sư năm 2025, tăng hơn 38% so với năm ngoái.
  • ThS. Lưu Hải Âu: Từ UAV RC đơn sơ đến hệ sinh thái không người lái bầy đàn phục vụ nông nghiệp và môi trường (Kỳ 1)

    ThS. Lưu Hải Âu: Từ UAV RC đơn sơ đến hệ sinh thái không người lái bầy đàn phục vụ nông nghiệp và môi trường (Kỳ 1)

    Hơn 20 năm gắn bó với ngành trắc địa - bản đồ và công tác khảo sát tài nguyên, môi trường, ThS. Lưu Hải Âu, Giám đốc Trung tâm Tin học Trắc địa và Bản đồ (Viện Khoa học Đo đạc và Bản đồ - Bộ Nông nghiệp và Môi trường) cùng nhóm nghiên cứu đã kiên trì cải tiến từ những chiếc UAV RC (thiết bị bay không người lái điều khiển từ xa bằng sóng radio) điều khiển bằng tay ban đầu. Từ những bước đi nhỏ, ông đã mở rộng sang UAV tích hợp GNSS-IMU, AGV gắn LiDAR-Camera, USV và ROV, dần hình thành nên một hệ sinh thái không người lái đa nền tảng.
  • Khi khoa học bước vào nông nghiệp: Câu chuyện truyền cảm hứng từ một nữ doanh nhân Nguyễn Thị Hồng

    Khi khoa học bước vào nông nghiệp: Câu chuyện truyền cảm hứng từ một nữ doanh nhân Nguyễn Thị Hồng

    Không chỉ mang đến gian hàng ấn tượng tại Triển lãm Thành tựu Đất nước "80 năm Hành trình Độc lập - Tự do - Hạnh phúc" khai mạc ngày 28/8 tại Trung tâm Hội chợ Triển lãm Quốc gia (Đông Anh, Hà Nội) nhân dịp Quốc khánh 2/9, bà Nguyễn Thị Hồng, nhà sáng lập Thiên Phúc, còn mang theo cả câu chuyện về nông nghiệp công nghệ cao của Việt Nam. Từ phòng thí nghiệm đến dây chuyền sản xuất chuẩn GACP-WHO, sản phẩm đông trùng hạ thảo Thiên Phúc đã chứng minh sức mạnh của khoa học khi gắn liền với thực tiễn, góp phần tạo dựng thương hiệu xanh, sạch cho cộng đồng.
  • Ứng dụng trí tuệ nhân tạo trong xác định tác nhân gây sụt lún tại TP. Hồ Chí Minh

    Ứng dụng trí tuệ nhân tạo trong xác định tác nhân gây sụt lún tại TP. Hồ Chí Minh

    Ngày 29/8, Trường Đại học Tài nguyên và Môi trường TP. Hồ Chí Minh đã tổ chức Hội thảo khoa học với chủ đề “Những kết quả mới nhất về quan trắc lún bề mặt tại TP.HCM và Đồng bằng sông Cửu Long”. Tại đây, các chuyên gia đã đưa ra những cảnh báo quan trọng về tình trạng sụt lún đất, một thực tế khách quan đang diễn ra ngày càng nghiêm trọng tại đô thị lớn nhất cả nước.
  • Khoa học công nghệ nông nghiệp: Chìa khóa phát triển kinh tế, giảm nghèo

    Khoa học công nghệ nông nghiệp: Chìa khóa phát triển kinh tế, giảm nghèo

    Ứng dụng khoa học - công nghệ trong sản xuất nông nghiệp đang mở ra hướng đi mới cho nhiều địa phương. Mô hình nhà màng trồng dưa vàng ở xã Kiên Thọ (Thanh Hóa) không chỉ mang lại hiệu quả kinh tế vượt trội, tạo việc làm ổn định, mà còn góp phần xóa đói giảm nghèo, khẳng định vai trò then chốt của nông nghiệp công nghệ cao trong phát triển bền vững nông thôn.
  • Học viện Y Dược học cổ truyền Việt Nam: Hành trình tri thức, nhân văn và khát vọng cống hiến

    Học viện Y Dược học cổ truyền Việt Nam: Hành trình tri thức, nhân văn và khát vọng cống hiến

    Trong những ngày mùa thu tháng Tám lịch sử, Học viện Y-Dược học cổ truyền Việt Nam (YDHCTVN) long trọng tổ chức Lễ tốt nghiệp năm học 2024-2025, trao bằng cho 775 tân bác sĩ Y học cổ truyền, bác sĩ Y khoa và dược sĩ. Đây không chỉ là dấu mốc trưởng thành của các tân khoa, mà còn là dịp để nhìn lại hành trình hơn nửa thế kỷ vun đắp giá trị nhân văn của một ngôi trường đặc thù, nơi giao thoa giữa truyền thống và hiện đại trong đào tạo nguồn nhân lực y tế.
  • Định hướng đào tạo nguồn nhân lực chất lượng cao, hướng tới tự chủ tài chính

    Định hướng đào tạo nguồn nhân lực chất lượng cao, hướng tới tự chủ tài chính

    Trong bối cảnh chuyển đổi số diễn ra mạnh mẽ, cách mạng công nghiệp lần thứ tư tác động sâu rộng đến mọi mặt của đời sống xã hội, yêu cầu đổi mới giáo dục đại học trở nên cấp thiết. Đồng thời, chủ trương của Đảng, Nhà nước về tự chủ đại học, đổi mới quản trị và nâng cao chất lượng nguồn nhân lực cũng đặt ra yêu cầu mới cho các cơ sở giáo dục đại học.
  • Người gieo mầm hy vọng từ những hạt đậu nhỏ bé

    Người gieo mầm hy vọng từ những hạt đậu nhỏ bé

    Trong hành trình phát triển nông nghiệp bền vững của đất nước, có những con người thầm lặng nhưng bền bỉ, kiên trì gieo từng hạt giống tri thức và hy vọng trên những cánh đồng. TS. Nguyễn Ngọc Quất, Phó Giám đốc Trung tâm Nghiên cứu và Phát triển Đậu đỗ (Viện Cây lương thực và Cây thực phẩm), là một trong những người như thế. Suốt cả cuộc đời công tác và nghiên cứu, ông đã dành trọn tâm huyết cho sự nghiệp bảo tồn, phát triển giống đậu đỗ, những cây trồng nhỏ bé nhưng giàu giá trị với nền nông nghiệp và an ninh lương thực quốc gia.
  • Đào tạo gắn với thị trường lao động: Khoa Tài nguyên và Môi trường (Học viện Nông nghiệp Việt Nam) ký kết MOU với TTG Group

    Đào tạo gắn với thị trường lao động: Khoa Tài nguyên và Môi trường (Học viện Nông nghiệp Việt Nam) ký kết MOU với TTG Group

    Nhằm tăng cường gắn kết đào tạo với thực tiễn, ngày 30/7/2025, Khoa Tài nguyên và Môi trường, Học viện Nông nghiệp Việt Nam đã ký kết biên bản hợp tác chiến lược với Công ty TNHH Thành Trung Group (TTG Group). Sự kiện đánh dấu bước phát triển mới trong việc kết nối doanh nghiệp vào quá trình đào tạo, mở ra nhiều cơ hội thực tập, việc làm và nghiên cứu khoa học cho sinh viên các ngành thuộc lĩnh vực tài nguyên, môi trường và bất động sản.
  • Phân lập và tinh sạch ba hợp chất flavonoid của cao chloroform từ Bí kỳ nam (Hydnophytum formicarum Jack.)

    Phân lập và tinh sạch ba hợp chất flavonoid của cao chloroform từ Bí kỳ nam (Hydnophytum formicarum Jack.)

    Cao chloroform của Bí kỳ nam (Hydnophytum formicarum Jack.) được sắc ký cột với các hệ dung môi có độ phân cực khác nhau và kết hợp với kỹ thuật sắc ký lớp mỏng để thực hiện quá trình phân lập và tinh sạch các hợp chất. Cấu trúc của các hợp chất được xác định bằng phương pháp phổ cộng hưởng từ hạt nhân và kết hợp so sánh với tài liệu tham khảo. Ba hợp chất được tinh sạch và xác định cấu trúc bao gồm luteolin (1), quercetin (2) và quercitrin (3). 
  • Tưới thông minh - Giải pháp xanh cho vùng hạn mặn Vĩnh Long

    Tưới thông minh - Giải pháp xanh cho vùng hạn mặn Vĩnh Long

    Nhóm tác giả đến từ các trường đại học và viện nghiên cứu tại TP. Hồ Chí Minh đã phát triển thành công mô hình tưới tự động tiết kiệm nước cho sản xuất rau hữu cơ tại xã Ba Tri (tỉnh Bến Tre trước đây), tỉnh Vĩnh Long, góp phần ứng phó hiệu quả với biến đổi khí hậu, hướng tới nền nông nghiệp bền vững.
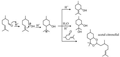
  • Tổng hợp hợp chất xua muỗi p-menthan-3,8-diol từ tinh dầu bạch đàn chanh (eucalyptus citriodora)

    Tổng hợp hợp chất xua muỗi p-menthan-3,8-diol từ tinh dầu bạch đàn chanh (eucalyptus citriodora)

    Hoạt tính xua đuổi hiệu quả của p-menthan-3,8-diol (PMD) đã được chứng minh là hiệu quả an toàn cho sức khỏe, tuy nhiên, hợp chất này vẫn chưa được sử dụng phổ biến ở Việt Nam. Đã có một số công trình nghiên cứu khảo sát tổng hợp PMD chủ yếu sử dụng xúc tác acid H2SO4 loãng với các điều kiện phản ứng khác nhau về thời gian và nhiệt độ.