
Việc tổng hợp thành công PMD với hiệu suất cao, điều kiện phản ứng đơn giản sẽ giúp giảm giá thành sản phẩm, góp phần phát triển sản phẩm chứa PMD, đa dạng hóa sản phẩm trên thị trường và ngăn chặn sự lây lan các bệnh truyền nhiễm từ muỗi. Trong nghiên cứu này, tác giả tổng hợp PMD theo cơ chế Prins sử dụng xúc tác là dung dịch acid H3PO4 loãng 5% với nhiệt độ và thời gian phản ứng xác định. Kết quả đã tổng hợp thành công PMD với hàm lượng 93,5% trong điều kiện nhiệt độ phòng và thời gian phản ứng 60 phút. Thành phần hóa học của sản phẩm được xác định bằng phương pháp GC-MS tại Trung tâm kỹ thuật tiêu chuẩn đo lường chất lượng Quatest 3 (TP. Hồ Chí Minh).
Từ khóa: PMD, p-menthan-3,8-diol, citronellal, chất xua muỗi, chất diệt muỗi, tinh dầu Bạch đàn chanh.
Mở đầu
Muỗi là một loài côn trùng nhỏ bé nhưng lại là mối đe dọa lớn đối với sức khỏe con người. Chúng là vật chủ trung gian truyền nhiều loại bệnh nguy hiểm như sốt xuất huyết, sốt rét, Zika. Do đó, việc tìm kiếm các chất đuổi muỗi hiệu quả và an toàn luôn là một vấn đề cấp bách. DEET từ lâu đã được biết đến với khả năng đuổi muỗi hiệu quả, là thành phần chính trong nhiều sản phẩm diệt muỗi. Tuy nhiên, DEET cũng gây ra nhiều tác dụng phụ không mong muốn đối với sức khỏe và môi trường. Điều này thúc đẩy các nhà khoa học tìm kiếm những giải pháp thay thế an toàn hơn, đặc biệt là các sản phẩm có nguồn gốc từ tự nhiên, thân thiện với môi trường, ít có phản ứng phụ. Trong những năm gần đây, PMD (p-menthan-3,8-diol) được biết đến như một giải pháp thay thế với khả năng xua đuổi muỗi hiệu quả mà không gây hại cho sức khỏe con người. PMD là sản phẩm của quá trình bán tổng hợp với tác chất phản ứng là citronellal chiếm hàm lượng lớn trong tinh dầu Bạch đàn chanh (trên 80%). Nhiều nghiên cứu đã chứng minh PMD có hiệu quả đuổi muỗi tương đương hoặc thậm chí vượt trội so với DEET, đồng thời lại an toàn hơn nhiều cho người sử dụng. Trung tâm kiểm soát dịch bệnh (CDC) khuyến khích sử dụng PMD trong vùng dịch bệnh do hiệu quả đuổi muỗi và côn trùng đã được chứng minh và không tác dụng phụ.
Thực nghiệm
Hóa chất – thiết bị
Bản mỏng sử dụng silica gel pha thường (Merck DC Kieselgel 60 F254), dung môi CHCl3, CH3OH, ethyl acetate (Chemsol) sau chưng cất, acid H3PO4 (Trung Quốc). Phổ cộng hưởng từ hạt nhân đo trên máy Bruker Avance 500 [500 MHz (1H) và 125 MHz (13C)], Đại học Khoa học Tự nhiên TP. Hồ Chí Minh.
Nguyên liệu: Tinh dầu Bạch đàn chanh (Eucalyptus Citriodora) xuất xứ từ Ấn Độ được cung cấp bởi công ty TNHH Natural House (số 348/3 Vĩnh Viễn, phường 08, quận 10, TP. Hồ Chí Minh).
Chưng cất thu hồi citronellal
Tiến hành chưng cất 100 ml tinh dầu Bạch đàn chanh thu lấy chất trong khoảng nhiệt độ từ 126-129 oC được 71 ml hỗn hợp chất màu vàng đậm trong suốt [3]. Hỗn hợp thu được sau chưng cất được xác định thành phần hóa học bằng phương pháp GC-MS (Quatest3 1024:2022) tại Trung tâm Kỹ thuật tiêu chuẩn đo lường chất lượng Quatest 3. Thành phần đơn hương được thể hiện trong Bảng 1 với độ tinh khiết của citronellal đạt 98,6%.
Bảng 1: Thành phần đơn hương của hỗn hợp sau chưng cất tinh dầu Bạch đàn chanh
Tổng hợp PMD
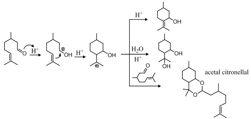
PMD được tổng hợp theo cơ chế Prins từ citronellal theo sơ đồ 1
Sơ đồ 1: Tổng hợp PMD theo cơ chế Prins
Phản ứng tổng hợp PMD được khảo sát ở các điều kiện khác nhau về nồng độ acid, tỉ lệ pha dầu : nước, nhiệt độ và thời gian (Bảng 2). Kết quả khảo sát được kiểm tra sơ bộ bằng phương pháp sắc ký bản mỏng khảo sát.
Bảng 2: Hiệu suất tổng hợp PMD
Cho 25 ml citronellal vào erlen 200 ml với V (ml) dung dịch acid H3PO4 pha sẵn ở các nồng độ 1%, 5%, 10% và 15%. Phản ứng được khuấy bằng máy khuấy cánh inox với tốc độ 240 vòng/phút suốt quá trình phản ứng. Sau phản ứng kết thúc, để yên 15 phút để hỗn hợp tách lớp hoàn toàn cho hỗn hợp vào phễu chiết lắc với 100 mL nước cất để loại phần tạp tan trong nước. Mở khóa phễu chiết loại loại bỏ dịch nước. Tiếp tục rửa dịch hữu cơ bằng dung dịch Na2CO3 10% vài lần đến khi không còn bọt CO2 sinh ra. Dùng phễu chiết tách lấy lớp hữu cơ màu vàng đậm trong suốt, làm khan bằng Na2SO4 khan. Tiến hành xác định thành phần hóa học của hỗn hợp này bằng phương pháp GC-MS (Quatest3 1024:2022) tại Trung tâm kỹ thuật tiêu chuẩn đo lường chất lượng Quatest 3. Thành phần đơn hương được thể hiện trong Bảng 2 với độ tinh khiết của 8-hydroxymenthol (PMD) đạt 93,5%.
Bảng 3: Khảo sát phản ứng tổng hợp PMD
Kết luận
Đã tổng hợp thành công chất xua muỗi PMD thân thiện với môi trường, an toàn cho sức khỏe với hiệu suất đạt 93,5% sử dụng xúc tác H3PO4 5% trong điều kiện phản ứng đơn giản. Kết quả này tạo cơ sở xúc tiến việc tự sản xuất PMD trong nước để tăng cường ứng dụng sản phẩm này vào thực tiễn.
Lời cảm ơn
Cảm ơn Công ty TNHH Natural House (348/3 Vĩnh Viễn, Phường 08, Quận 10, TP. Hồ Chí Minh - MST 0315462181) đã tài trợ cho nghiên cứu này.
Tài liệu tham khảo
1. Phan Tấn Phát, Phan Thị Thanh Thủy (2020), “Tổng hợp para-menthan-3,8-diol từ citronellal theo cơ chế Prins”, Tạp chí Khoa học & Công nghệ Số 11, 80-83;
2. Nguyễn Thị Kim Thu, Mạc Đình Hùng (2017), “Tổng hợp p-menthan-3,8-diol và thử nghiệm hoạt tính xua muỗi”, Tạp chí Dược học, số 449, 26-29;
3. Nguyễn Trọng Phúc Nguyên, Lê Minh Thành, Tống Thanh Danh, Lê Xuân Tiến (2022), Chưng cất phân đoạn citronellal từ tinh dầu sả java (Cymbopogon winterianus) và tinh dầu bạch đàn chanh (Eucalyptus citriodora), Tạp chí Công thương, số 3;
4. Scott P. Carroll, Jeffpey Venturino and John H. Davies (2019), “A milestone in Botanical Mosquito Repellents: Novel PMD-based Formulation protects more than twice as long as high concentratrion deet adn other leading products”, Journal of the American Mosquito Control Association, 35(3):186–191;
5. Pastor Isidro M. and Yus Miguel (2007), “The Prins reaction: advances and applications”, Current Organic Chemistry, vol. 11, pp. 925-957.
NGUYỄN HỮU DUY KHANG1*, NGUYỄN TRƯỜNG GIANG2
1Khoa Sư phạm Khoa học Tự nhiên - Đại học Sài Gòn
2Công Ty TNHH Natural House
Email: nhdkhang@sgu.edu.vn
Nguồn: Tạp chí Tài nguyên và Môi trường số Kỳ 1 tháng 3 năm 2025