
Tuy nhiên, do khả năng hòa tan trong nước hạn chế nên tác dụng sinh học của chúng thấp. Việc lên men nghệ mật ong được xem là giải pháp làm tăng tác dụng của nghệ. Khảo sát quá trình lên men nghệ mật ong trong các điều kiện môi trường khác nhau được tiến hành với 8 công thức thí nghiệm khác nhau về dạng nghệ, chất pha loãng và điều kiện nhiệt độ. Kết quả nghiên cứu cho thấy quá trình lên men nghệ mật ong ở các công thức có sự khác nhau. Trong đó khác biệt rõ rệt nhất là yếu tố nhiệt độ. Ở điều kiện 35oC các công thức thí nghiệm đều có tốc độ lên men nhanh hơn ở nhiệt độ phòng (25±5oC). Cụ thể, các công thức ở nhiệt độ 35oC có pH và hàm lượng đường khử giảm nhanh, mật độ lợi khuẩn lại tăng nhanh. Trong khi đó, các công thức ở điều kiện nhiệt độ phòng có pH và hàm lượng đường khử giảm chậm, và mật độ lợi khuẩn cũng tăng chậm hơn trong các công thức thí nghiệm. Quá trình lên men giữa các công thức khác nhau về dạng nghệ và chất pha loãng cũng có sự khác nhau, tuy nhiên mức độ chênh lệch không quá lớn. Chỉ khác biệt rõ rệt về cảm quan, đối với các mẫu dùng tinh bột nghệ và sữa tươi thì sản phẩm sánh hơn,màu vàng sáng và không rõ mùi nghệ, đối với các mẫu dùng nghệ tươi và nước dừa thì sản phẩm loãng hơn, màu vàng sẫm (vàng cánh gián) và có mùi hăng của nghệ.
Từ khoá: Lên men, nghệ, mật ong, pH, lợi khuẩn.
Mở đầu
Từ lâu con người đã biết sử dụng nghệ như là một loại gia vị, thuốc gia truyền và chữa được nhiều bệnh. Đặc biệt ở Việt Nam, nghệ được biết đến như một phương thuốc chữa bệnh đau dạ dày hiệu quả. Trong tinh bột nghệ có chứa hoạt chất Curcumin có tác dụng kháng viêm, chống oxi hóa, và kháng khuẩn. Nghệ có khả năng trung hòa lượng axit trong dạ dày, do đó, ngăn ngừa các bệnh như dư axit, viêm dạ dày và ợ nóng. Uống sữa nghệ để lạnh có thể làm dịu dạ dày của bạn một cách hiệu quả. Vì nghệ kích thích sản xuất ra dịch tiêu hóa có lợi ở dạ dày, nên nó hỗ trợ cho tổng thể quá trình tiêu hóa, một trong những chức năng quan trọng nhất của cơ thể. Hiện nay, nghệ chủ yếu được chế biến theo cách truyền thống là trộn bột nghệ hoặc lát nghệ với mật ong hoặc chưng với đường hay tạo thành viên tròn để chữa bệnh viêm dạ dày [2], nhưng việc sử dụng sản phẩm này khó ăn và hiệu quả còn hạn chế. Nhiều nghiên cứu đều cho thấy Curcumin là một trong những thành phần chính của củ nghệ có nhiều đặc tính chữa bệnh. Tuy nhiên, do khả năng hòa tan trong nước hạn chế nên tác dụng sinh học của chúng thấp. Vì vậy, để tăng khả năng hòa tan của chất curcumin, một số nghiên cứu đã tiến hành lên men nghệ [1]. Trong nghiên cứu này, chúng tôi tiến hành khảo sát, thử nghiệm đánh giá ảnh hưởng của một số yếu tố đến quá trình lên men nghệ mật ong nhằm lựa chọn quy trình tạo ra sản phẩm nghệ lên men.
Vật liệu và phương pháp nghiên cứu
Vật liệu nghiên cứu
Mật ong (200ml) từ Mật ong hoa vải Lục Ngạn, Huyện Lục Ngạn, tỉnh Bắc Giang; Tinh bột nghệ (100g) từ Công ty TNHH Tiệm Phố Núi, 420 Trường Chinh, TP Pleiku, Gia Lai; Nghệ tươi (1kg) trồng tại Đông Anh, Hà Nội; Sữa tươi (100ml) TH True Milk; Nước dừa (100ml) từ Xiêm Bến Tre, bán tại Hà Nội; Vi khuẩn Bacillus subtilis (2,05g) từ Công ty Cổ phần Hóa Dược và Công Nghệ Sinh Học Biogreen- Chi nhánh Bắc Giang, Phồn Xương, Yên Thế, Bắc Giang; Vi khuẩn Lactobacillus acidophilus (2,05g) từ Công ty Cổ phần Hóa Dược và Công Nghệ Sinh Học Biogreen- Chi nhánh Bắc Giang, Phồn Xương, Yên Thế, Bắc Giang.
Phương pháp nghiên cứu
Bố trí thí nghiệm
Trên cơ sở các dạng nguyên liệu khác nhau, để đánh giá ảnh hưởng của các nguyên liệu và điều kiện nhiệt độ đến quá trình lên men, chúng tôi tiến hành bố trí 8 công thức thí nghiệm với các thành phần không đổi là mật ong và các chủng lợi khuẩn, các thành phần thay đổi dạng nghệ, chất pha và nhiệt độ, cụ thể như sau:
Bảng 1. Các công thức bố trí thí nghiệm
Các bước thực hiện
Các bước lên men nghệ mật ong được tiến hành như sau:
Hình 1. Quy trình lên men nghệ mật ong
Phương pháp phân tích
pH được xác định theo TCVN 12399:2018 [4],
Xác định hàm lượng đường khử theo TCVN 5266:1990 [5],
Xác định mật độ lợi khuẩn theo TCVN 6404:2016 trên môi trường MRS [3];
Phương pháp xử lý số liệu
Các thí nghiệm được lặp lại 3 lần, số liệu được xử lý bằng phần mềm Microsoft Excel 2016.
Kết quả nghiên cứu và thảo luận
Xác định độ pH trong quá trình lên men
Độ pH trong sản phẩm nghệ lên men được xác định mỗi ngày trong quá trình lên men. Kết quả được thể hiện trong biểu đồ Hình 2.
Hình 2. Sự thay đổi pH trong quá trình lên men
Kết quả xác định độ pH của các công thức thí nghiệm theo từng ngày trong quá trình lên men cho thấy: độ pH ban đầu của các mẫu là tương đối dao động từ 5,5-6,3 do độ pH của mật ong thấp, của sữa trung bình, và của nước dừa hơi thấp. Khoảng 3-5 ngày đầu pH chưa có sự thay đổi nhiều, từ ngày thứ 6 đến ngày thứ 10 (hoặc ngày 13) pH đã có sự thay đổi rõ rệt so với những ngày đầu. Giữa các mẫu cũng có sự thay đổi khác biệt và chia thành 2 nhóm, nhóm lên men ở điều kiện nhiệt độ 35oC pH thay đổi giảm nhanh hơn so với các công thức ở nhóm lên men ở điều kiện nhiệt độ phòng (25±5oC). Ngày thứ 20 sau lên men độ pH đã giảm đáng kể so với ngày đầu dao động từ 4,2-5 tùy từng mẫu .
Hàm lượng đường khử trong quá trình lên men
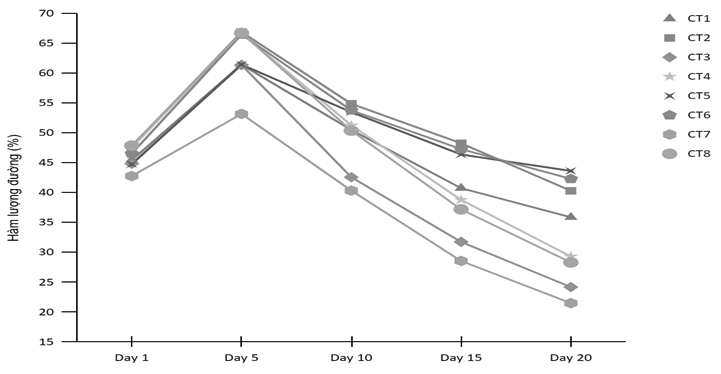
Việc xác định hàm lượng đường khử của mẫu được tiến hành theo tiêu chuẩn Việt Nam (TCVN)- 5266-1990. Kết quả được thể hiện trong biểu đồ hình 3.
Hình 3. Sự thay đổi lượng đường khử trong quá trình lên men
Hàm lượng đường khử trong các mẫu lên men thay đổi rõ rệt trong quá trình lên men. Ngày thứ 5 hàm lượng đường trong các công thức đều tăng lên do được bổ sung thêm lượng mật ong, sau đó hàm lượng đường giảm đều. Sau 20 ngày thí nghiệm hàm lượng đường khử trong mẫu thí nghiệm dao động từ 21,47-43,62%. Sự thay đổi hàm lượng đường trong các mẫu thể hiện khá rõ rệt ở 2 nhóm, nhóm để ở nhiệt độ 35oC giảm nhanh và giảm sâu hơn (giảm tới 21,47%) so với nhóm để ở nhiệt độ phòng (25±5oC).
Mật độ lợi khuẩn trong quá trình lên men
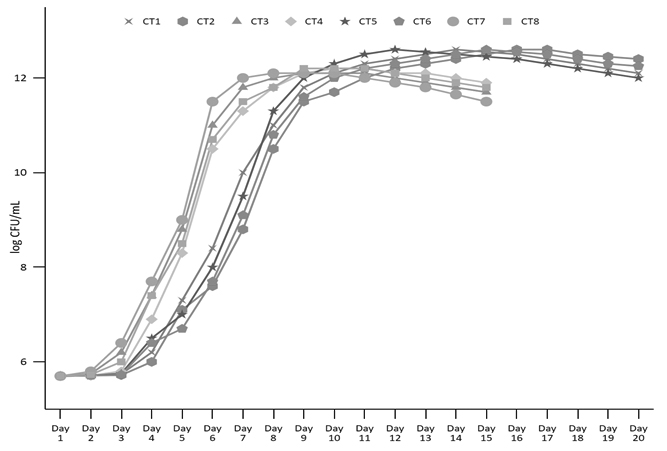
Mật độ lợi khuẩn (gồm 2 loại Bacillus subtilis và Lactobacillus acidophilus) được xác định theo từng ngày. Kết quả định lượng được thể hiện ở biểu đồ hình 4.
Hình 4. Mật độ lợi khuẩn trong quá trình lên men
Kết quả này cho thấy mật độ lợi khuẩn trong 2 ngày đầu thay đổi không đáng kể, từ ngày thứ 3 bắt đầu tăng đáng kể. Tuy nhiên, tốc độ lợi khuẩn tăng có sự khác biệt rõ rệt ở 2 nhóm: nhóm để điều kiện nhiệt độ 35oC có tốc độ tăng nhanh hơn, ngày thứ 3 đã bắt đầu tăng nhanh và tăng mạnh đến ngày thứ 7, ngày thứ 8 thì đạt cao nhất, lên tới hơn 1012 và bắt đầu có xu hướng giảm vào ngày thứ 12, ngày thứ 13 của quá trình lên men; nhóm để ở điều kiện nhiệt độ phòng (25±5oC) có tốc độ tăng chậm hơn, ngày thứ 4, thứ 5 bắt đầu tăng, tăng mạnh trong các ngày thứ 6-12, mật độ lợi khuẩn có thể đạt cao nhất tới gần 1013, và bắt đầu có xu hướng giảm vào ngày thứ 16-17. So với các loại chế phẩm vi sinh như men vi sinh Biosubtyl (lợi khuẩn 6x107 CFU/g), sữa chua uống TH true YOGURT (18.109 lợi khuẩn/85mL), Sữa chua uống Yakult (6,5 tỷ lợi khuẩn/65mL), Betagen (9 tỷ lợi khuẩn/100mL) thì mật độ lợi khuẩn trong các công thức lên men nghệ mật ong cao gấp nhiều lần (hàng trăm tới hàng ngàn lần).
Mật độ lợi khuẩn giữa các công thức khác nhau về dạng nghệ (tinh bột nghệ, nghệ tươi) và chất pha loãng (sữa tươi không đường, nước dừa) cũng có sự khác nhau, tuy nhiên mức độ chênh lệch không quá lớn. Chỉ khác biệt rõ rệt về cảm quan (trạng thái và màu sắc, mùi vị), đối với các mẫu dùng tinh bột nghệ và sữa tươi thì sản phẩm sánh- dễ lắng, vàng sáng và không rõ mùi nghệ, đối với các mẫu dùng nghệ tươi và nước dừa thì sản phẩm loãng hơn, màu vàng sẫm (vàng cánh gián) và có mùi hăng của nghệ. Như vậy, đều có thể sử dụng được tất cả các loại nguyên liệu này trong việc lên men nghệ mật ong.
Kết luận
Nghệ, mật ong là các nguyên liệu được sử dụng nhiều trong đời sống con người. Việc lên men nghệ mật ong còn ít được nghiên cứu. Khảo sát quá trình lên men nghệ mật ong trong các điều kiện môi trường khác nhau được tiến hành với 8 công thức thí nghiệm khác nhau về dạng nghệ, chất pha loãng và điều kiện nhiệt độ. Kết quả nghiên cứu cho thấy quá trình lên men nghệ mật ong ở các công thức có sự khác nhau. Trong đó khác biệt rõ rệt nhất là yếu tố nhiệt độ. Ở điều kiện 35oC các công thức thí nghiệm đều có tốc độ lên men nhanh hơn ở nhiệt độ phòng (25±5oC). Cụ thể, các công thức ở nhiệt độ 35oC có pH và hàm lượng đường khử giảm nhanh, mật độ lợi khuẩn lại tăng nhanh. Trong khi đó, các công thức ở điều kiện nhiệt độ phòng có pH và hàm lượng đường khử giảm chậm, và mật độ lợi khuẩn cũng tăng chậm hơn trong các công thức thí nghiệm.
Quá trình lên men giữa các công thức khác nhau về dạng nghệ và chất pha loãng cũng có sự khác nhau, tuy nhiên mức độ chênh lệch không quá lớn. Chỉ khác biệt rõ rệt về cảm quan, đối với các mẫu dùng tinh bột nghệ và sữa tươi thì sản phẩm sánh hơn,màu vàng sáng và không rõ mùi nghệ, đối với các mẫu dùng nghệ tươi và nước dừa thì sản phẩm loãng hơn, màu vàng sẫm (vàng cánh gián) và có mùi hăng của nghệ.
Lời cảm ơn: Nhóm tác giả gửi lời cảm ơn đến nhóm sinh viên thực hiện đề tài Nghiên cứu khoa học “Nghiên cứu hoàn thiện quy trình lên men nghệ sản xuất thực phẩm chức năng” tại Trường Đại học Tài nguyên và Môi trường Hà Nội.
Tài liệu tham khảo
1. Poorva Sharma, Piyush Kashyap & Akshay Dhakane (2023), Exploring the antioxidant potential of fermented turmeric pulp: effect of extraction methods and microencapsulation, Preparative Biochemistry & Biotechnology, 53:8, 968-977;
2. Nguyễn Hữu Tiến, Lê Thị Bảo Trâm, Nguyễn Thị Như Ngọc, Phan Phước Thắng, Nguyễn Viết Khẩn (2018), Định lượng Curcumin trong tinh bột nghệ và viên hoàn nghệ mật ong bằng sắc ký lỏng hiệu năng cao. Tạp chí Y Dược học - Trường Đại học Y Dược Huế - Tập 8, số 4: 42-47;
3. Tiêu chuẩn Quốc gia (2016), TCVN 6404:2016 - Vi sinh vật trong thực phẩm và thức ăn chăn nuôi - Yêu cầu chung và hướng dẫn kiểm tra vi sinh vật;
4. Tiêu chuẩn Quốc gia (2018), TCVN 12399:2018 - Mật ong - Xác định độ pH, độ axit tự do;
5. Ủy ban Khoa học Nhà nước (1990), Tiêu chuẩn Việt Nam TCVN 5266:1990 về Sản phẩm ong - Phương pháp xác định hàm lượng đường khử tự do.
HOÀNG NGỌC KHẮC, LÊ VĂN SƠN,
Trường Đại học Tài nguyên và Môi trường Hà Nội
Email: hnkhac@hunre.edu.vn
Nguồn: Tạp chí Tài nguyên và Môi trường số 18 (Kỳ 2 tháng 9) năm 2024