Lá Lốt (Piper sarmentosum) là loài thực vật phổ biến được dùng như một loại rau trong bữa ăn hàng ngày với nhiều công dụng có lợi cho sức khỏe. Đã có nhiều nghiên cứu về cây lá Lốt nhưng chủ yếu trên các cao chiết methanol, nước, ethyl acetate, chloroform. Đối với tinh dầu lá Lốt, các thông tin khoa học vẫn còn rất hạn chế.
Trong nghiên cứu này, tinh dầu lá Lốt được ly trích bằng phương pháp chưng cất lôi cuốn hơi nước và được xác định thành phần hóa học bằng phương pháp GC-MS. Hoạt tính kháng khuẩn của tinh dầu Lá Lốt được thử nghiệm bằng phương pháp khuếch tán đĩa thạch. Thử nghiệm trung hòa gốc tự do ABTS•+ được thực hiện theo Nenadis et al. (2004) có hiệu chỉnh. Kết quả cho thấy, đã xác định được 7 cấu tử chiếm tỉ lệ 97.6% và 2.4% cấu tử chưa xác định được; trong đó, trans-isocroweacin, ã-asarone và á-asarone là những hợp chất chính với tỉ lệ lần lượt là 32.6%, 36.8% và 16.1%. Tinh dầu lá Lốt thể hiện hoạt tính kháng khuẩn Bacillus cereus và Staphylococcus aureus ở nồng độ 75mg/mL và 100mg/mL. hoạt tính kháng oxy hóa trên gốc tự do ABTS•+ của tinh dầu lá Lốt là 854.4 ìg/mL.
Từ khóa: Piper sarmentosum, hoạt tính kháng oxy hóa, gốc tự do ABTS•+, ức chế sự phát triển vi khuẩn, tinh dầu.
ABSTRACT
Piper sarmentosum is commonly used as a vegetable in daily meals with many beneficial uses for health. There have been many studies on P. sarmentosum but mainly on extracts (water, methanol, ethyl acetate). For essential oil of P. sarmentosum, scientific informations has been still very limited. In this research, the essential oil of P. sarmentosum was extracted by the steam distillation method and its chemical composition was determined by GC-MS method. Activity on inhibiting bacterial growth and neutralizing free radical ABTS•+ of the P. sarmentosum oil were based on the agar well diffusion method and the modified method described by Nenadis et al. (2004), correspondently.The GC-MS results showed that seven dentified compounds were i, accounted for 97.6%, in which trans-isocroweacin, ã-asarone and á-asarone were compounds that accounted for a large content of 32.6%, 36.8% and 16.1%, respectively and unknown components were of 2.4% of;. Antibacterial test results showed that the essential oil was against to growth of Bacillus Cereus and Staphylococcus aureus at 75 mg/mL and 100mg/mL, respectivly.The antioxidant activity on free radical ABTS•+ of P. sarmentosum was at 854.4 ìg/ml.
Keywords: Piper sarmentosum, antioxidant activity, radical ABTS•+, inhibiting bacterial growth, essential oil.
Mở đầu
Tinh dầu từ lâu đã được biết đến trong dân gian với nhiều công dụng có lợi cho sức khỏe như kháng khuẩn, dưỡng da, kích thích mọc tóc, đuổi côn trùng, trị vết thương do côn trùng đốt,... Ngày nay, tinh dầu được ứng dụng rộng rãi trong ngành công nghiệp hương liệu, mỹ phẩm, thực phẩm,... Nó không những là thành phần hoạt chất trong các loại mỹ phẩm mà còn là chất bảo quản tốt cho sản phẩm khỏi các tác nhân làm hư hỏng. Trong thực phẩm, tinh dầu là hương liệu, phụ gia an toàn cho sức khỏe và giúp bảo quản thực phẩm. Việt Nam với khí hậu nhiệt đới gió mùa, thảm thực vật vô cùng đa dạng phong phú với rất nhiều loại tinh dầu chất lượng có giá trị cao; vì vậy việc nghiên cứu về tinh dầu ở nước ta sẽ là một lợi thế với những tiềm năng chưa được khám phá hết.
Lá Lốt (Piper sarmentosum) thuộc họ Hồ tiêu (Piperaceae), là cây thân cỏ, cao 30 - 40 cm, là loài thực vật ngắn ngày, dễ trồng, rất phổ biến ở Việt Nam cũng như nhiều quốc gia khu vực châu Á như: Lào, Cambodia, Ấn Độ, Thailand, Indonesia,... Theo y học cổ truyền, lá Lốt có rất nhiều tác dụng đối với sức khỏe như trị đau bụng, rối loạn tiêu hóa, tiêu chảy, trị nhức răng, giải độc nấm, trị rắn cắn và trị đau xương khớp. Mặt khác, về mặt ẩm thực, lá Lốt là một loại rau được sử dụng trong đời sống hàng ngày. Với những công dụng phong phú như trên, cây lá Lốt được quan tâm nghiên cứu ở nhiều nơi trên thế giới chủ yếu về thành phần hóa học và hoạt tính trên các cao chiết. Tuy nhiên, đối với tinh dầu lá Lốt thì hiện nay vẫn chưa được nghiên cứu nhiều, các thông tin khoa học vẫn còn hạn chế. Qua đó cho thấy, việc nghiên cứu về tinh dầu của cây lá Lốt là rất cần thiết, giúp cung cấp thêm những thông tin khoa học để loài cây này được khai thác và ứng dụng mạnh mẽ vào đời sống. [1,2]
Hình 1: Lá Lốt (Piper sarmentosum)
.jpg)
Thực nghiệm
Nguyên liệu
Lá Lốt (4.2 kg) được thu hái tại quận Bình Tân, TP. Hồ Chí Minh. Lá Lốt sau khi thu hái được rửa sạch, bỏ thân và lá hư, sau đó, được lưu trữ trong ngăn mát tủ lạnh chuẩn bị ly trích tinh dầu.
Ly trích tinh dầu
Xay nhuyễn 1.4 kg lá Lốt và cho vào bình cầu 5 L của hệ thống chưng cất Clevenger. Thêm nước vào đến 2/3 thể tích bình cầu. Tiến hành chưng cất lôi cuốn hơi nước trong 3 giờ. Dung dịch thu được sau khi chưng cất được làm lạnh, đồng thời, cho 2 g NaCl và khuấy đều nhằm tối ưu hiệu suất chiết tách. Cho dung dịch vào phễu chiết để yên một thời gian để tinh dầu tách ra khỏi pha nước. Mở khóa phễu chiết thu lấy tinh dầu lá Lốt (1.2 mL) và đem bảo quản trong tủ lạnh ở 40. Thí nghiệm được lặp lại 3 lần. Thành phần hóa học của tinh dầu lá Lốt được xác định bằng phương pháp sắc ký khí ghép khối phổ GC–MS tại Trung tâm Kỹ thuật Tiêu Chuẩn Đo Lường Chất lượng 3 số 64 Lê Hồng Phong, phường 2, quận 5, TP. Hồ Chí Minh.
Khảo sát khả năng trung hòa gốc tự do ABTS•+
Thử nghiệm trung hòa gốc tự do ABTS•+ được thực hiện theo Nenadis et al. (2004) có hiệu chỉnh [5,6]. Dung dịch ABTS•+ được chuẩn bị bằng cách pha 10 mL dung dịch ABTS nồng độ 7.4 mM và 10 mL dung dịch K2S2O8 nồng độ 2.6 mM. Ủ dung dịch trong bóng tối trong khoảng 12 - 16 giờ, sau đó pha loãng bằng ethanol (khoảng 40 lần), điều chỉnh độ hấp thụ quang phổ của dung dịch ở bước sóng 734 nm đến 0.7 ± 0.02. Tiến hành cho 2800 ìL dung dịch ABTS•+ vào 1200 ìL dung dịch tinh dầu ở các nồng độ 1,2,3,4,5 mg/mL. Hỗn hợp phản ứng được ủ trong thời gian 5 phút. Sau đó đo độ hấp phụ quang phổ ở bước sóng 734 nm. Chất chuẩn được sử dụng là vitamin C. Kết quả hoạt tính kháng oxy hóa của tinh dầu được biểu diễn bằng giá trị IC50 được tính dựa trên phương trình tuyến tính của nồng độ tinh dầu khảo sát và phần trăm loại bỏ gốc tự do. Trong đó, phần trăm loại bỏ gốc tự do được tính theo công thức:
.png)
SCABTS•+: Phần trăm loại bỏ gốc tự do ABTS•+ (%)
As: Độ hấp thu quang của mẫu phân tích
Ab: Độ hấp thu quang của mẫu trắng
An: Độ hấp thu của mẫu đối chứng âm
Khảo sát hoạt tính kháng khuẩn
Hoạt tính kháng khuẩn của tinh dầu lá Lốt được thử nghiệm bằng phương pháp khuếch tán đĩa thạch trên các chủng vi khuẩn: Bacillus cereus, Escherichia coli, Pseudomonas aeruginosa và Staphylococcus aureus. Tinh dầu được pha loãng theo các nồng độ: 100, 75, 50, 25, 10 mg/mL trong ethanol 70. Hoạt tính kháng khuẩn được đánh giá qua đường kính vòng vô khuẩn. Sự xuất hiện vòng vô khuẩn xung quanh giếng là do các chất có hoạt tính kháng khuẩn trong tinh dầu khuếch tán từ giếng sang mặt thạch xung quanh và ức chế sự phát triển của vi khuẩn. Chứng dương dùng cho thử nghiệm là kháng sinh Gentamicin.
Kết quả và thảo luận
Thành phần hóa học của tinh dầu lá Lốt
Kết quả GC-MS đã xác định được 7 cấu tử chiếm 97.6% hàm lượng tinh dầu bao gồm: trans-Isocroweacin (32.6%), ã-Asarone (36.8%), d-Asarone (16.1%), â-caryophyllene (7.3%), Methyleugenol (1.5%), Germacrene B (2.1%), Germacrene D. Trong số đó 3 hợp chất trans-Isocroweacin, ã-Asarone, á-Asarone chiếm tỉ lệ 85.5%. Có thể thấy, đây là những hợp chất quyết định tính chất của tinh dầu lá Lốt.
Mặt khác, khi so sánh hàm lượng các hợp chất chính có trong tinh dầu lá Lốt của mẫu khảo sát với với tinh dầu lá Lốt Cần Thơ [3] và Malaysia [4] cho thấy có sự khác biệt nhiều về thành phần. 2 hợp chất trans-isocroweacin và ã-asarone chiếm hàm lượng cao trong mẫu tinh dầu khảo sát (*), tuy nhiên, lại không hiện diện trong thành phần của tinh dầu lá Lốt Cần Thơ và Malaysia. Ngược lại, myristicin và euasarone chiếm hàm lượng khá cao trong tinh dầu lá Lốt của Cần Thơ và Malaysia nhưng lại không xuất hiện trong thành phần tinh dầu của mẫu khảo sát. (Bảng 1)
Bảng 1: So sánh hàm lượng các hợp chất chính có trong tinh dầu lá Lốt của mẫu khảo sát (*) với tinh dầu lá Lốt xuất xứ Cần Thơ (3) và Malaysia (4)
.jpg)
Hoạt tính kháng oxy hóa
Hoạt tính kháng oxy hóa gốc tự do ABTS•+ của mẫu tinh dầu khảo sát và vitamin C lần lượt được xác định lần lượt là 854.4 ìg/mL và 13.215 ìg/mL. Kết quả trên cho thấy, tinh dầu lá Lốt của mẫu khảo sát có khả năng kháng oxy hóa tốt đối với gốc tự do ABTS•+. Tuy nhiên khi so với chất chuẩn thì hiệu quả kháng oxy hóa thấp hơn khá nhiều, cụ thể giá trị IC50 của tinh dầu mẫu khảo sát cao hơn 64.7 lần so với giá trị IC50 của vitamin C.
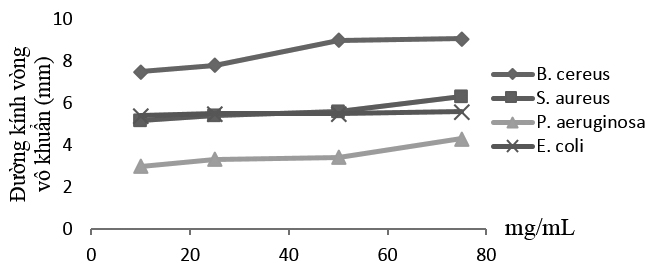
Bảng 2: Đường kính vòng vô khuẩn (mm) tại các nồng độ 10,25, 50, 75, 100 mg/mL
.jpg)
Đồ thị 1: Quan hệ giữa nồng độ và đường kính vòng vô khuẩn
.jpg)
Hoạt tính kháng khuẩn
Hoạt tính kháng khuẩn được đánh giá qua đường kính vòng vô khuẩn D (mm) (Bảng 2, Đồ thị 1). Kết quả cho thấy, tinh dầu lá Lốt thể hiện khả năng kháng khuẩn Bacillus cereus ở mọi nồng độ khảo sát. Đối với khuẩn Staphylococcus aureus, hoạt tính kháng khuẩn thể hiện ở nồng độ 75 và 100 mg/mL. Tinh dầu lá Lốt không cho thấy khả năng kháng khuẩn đối với chủng Escherichia coli và Pseudomonas aeruginosa ở các nồng độ khảo sát.
Kết luận
Từ kết quả GC-MS, thành phần chính của tinh dầu lá Lốt đã được xác định gồm trans-isocroweacin (32.6%), ã-asarone (36.8%) và á-asarone (16.1%) chiếm 85.5% trong 97.6% các hợp chất đã được xác định. Những hợp chất này có thể được xem là nguyên nhân chính quyết định tính chất và hoạt tính của tinh dầu lá Lốt.
Về hoạt tính, tinh dầu lá Lốt thể hiện khả năng kháng khuẩn B. cereus và S. aureus tỉ lệ thuận với nồng độ thử nghiệm. Tuy nhiên, lại không cho thấy khả năng ức chế đối với khuẩn E. coli và P. aeruginosa. Khả năng kháng oxy hóa gốc tự do ABTS•+ là khá cao với IC50 854.4 ìg/ml.
Tài liệu tham khảo
[1] Võ Văn Chi, “Cây Rau Làm Thuốc”. Nhà xuất bản Tổng hợp Đồng Tháp, p 114-115, 1998;
[2] Phạm Thu Huệ, Nguyễn Văn Bình, Phạm Thị Phương, “Nghiên Cứu Chiết Tách Tinh Dầu Cây Lá Lốt Để Chữa Bệnh Đau Xương Khớp,” Tạp chí Khoa học Đại học Tân Trào, no. 22, pp. 57-63, 2021;
[3] Nguyễn Thị Bích Thuyền, Hồ Quốc Phong, Lê Đức Duy, Trần Thị Ngọc Trâm, “Khảo sát hoạt tính sinh học của tinh dầu lá Lốt (Piper Lolot C.DC), Tạp chí Khoa học và Công nghệ, Đại học Huế, 18(2), 123-131, 2021;
[4] T. C. Chieng., Z. B. Assim, B. A. Fasihuddin, “Toxicity and Anti Termite Activities of the Essential Oils from Piper Sarmentosum”, The Malaysian Journal of Analytical Sciences, vol. 12, no. 1, pp. 234-239, 2008;
[5] Nguyễn Thị Bích Thuyền, Cao Lưu Ngọc Hạnh, Trần Thị Ngọc Trâm, “Khảo sát những thông số tối ưu cho quá trình chưng cất và thành phần hóa học tinh dầu lá lốt (Piper Lolot C.DC),” Tạp chí Khoa học và Công nghệ - Đại học Đà Nẵng, vol. 18, no. 11, pp. 7-10, 2020;
[6] Nikolaos Nenadis, Lan-Fen Wang, Maria Tsimidou, Hong-Yu Zhang “Estimation of Scavenging Activity of Phenolic Compounds Using the ABTS•+ Assay”, J. Agric. Food Chem, 52, 15, 4669–4674, 2004.
NGUYỄN HỮU DUY KHANG1*, GIANG TRÍ DANH1
1Khoa Sư phạm Khoa học Tự nhiên - Trường Đại học Sài Gòn
Nguồn: Tạp chí Tài nguyên và Môi trường số 11+12 năm 2024