Việc đốt quá nhiều vàng mã với những loại đồ đắt tiền, với nhiều kích thước to nhỏ khác nhau đã làm biến tướng nét văn hóa tâm linh vốn có từ lâu đời của người Việt. Thực trạng việc đốt vàng mã vẫn tiếp tục bị lạm dụng, đã và đang diễn ra rất nhiều nơi. Tuy nhiên, những nghiên cứu về hành vi sử dụng vàng mã từ người dân vẫn còn rất hạn chế. Mục đích của nghiên cứu này là khảo sát các yếu tố ảnh hưởng đến hành vi sử dụng vàng mã của người dân theo mô hình TPB và sử dụng phương pháp phân tích nhân tố khám phá EFA. Kết quả bước đầu cho thấy, các yếu tố thái độ, nhận thức và áp lực xã hội có ảnh hưởng đến hành vi sử dụng vàng mã trong thực tế và yếu tố thái độ có ảnh hưởng mạnh nhất đến hành vi này. Bên cạnh đó, nghiên cứu ảnh hưởng của việc đốt vàng mã đến xã hội, sức khỏe và môi trường.

Ảnh minh họa
GIỚI THIỆU
Tập tục đốt vàng mã đã xuất hiện rất lâu trong dân gian. Theo Thượng tọa Thích Nhật Từ (Phó Trưởng ban Phật giáo Quốc tế – Trung ương Giáo hội Phật giáo Việt Nam) tục đốt vàng mã có xuất xứ từ Trung Quốc theo Nho giáo. Tập tục này tin rằng, sau khi chết, con người sẽ tồn tại dưới âm phủ vĩnh hằng (Hồng Minh, 2018). Theo tính toán từ số liệu khảo sát mức sống hộ gia đình do Tổng cục Thống kê điều tra cho thấy, người Việt Nam chi cho vàng mã, đồ cúng cao hơn nhiều so với chi tiêu cho đồ chơi và sách truyện cho trẻ em dưới 18 tuổi. Vào năm 2012, số tiền bình quân là 575.000 VND/hộ gia đình cho đồ cúng, con số này tăng lên mức 654.000 VND/hộ gia đình ở năm 2016. Nếu nhân con số này cho tổng số hộ trên cả nước thì tổng mức chi tiêu cho cúng lễ vào khoảng 13.000 tỷ đồng năm 2012 và tăng thêm 3.000 tỷ đến năm 2016. Trong khi số tiền chi cho sách truyện và đồ chơi trẻ em bình quân trong năm 2012 và 2016 là hơn 1600 tỷ và 2100 tỷ đồng. Con số chênh lệch gấp tám lần, cho thấy người dân lãng phí quá nhiều tiền vào vàng mã hay đồ cúng (Thanh Tâm, 2019). Qua đây, dễ dàng nhận ra được người dân ngày càng có xu hướng lạm dụng vàng mã một cách thái quá, mặc dù đã có những khuyến cáo về việc hạn chế sử dụng do lãng phí tiền của và ONMT.
Tập quán đốt vàng mã không chỉ ảnh hưởng về mặt kinh tế, an toàn cháy nổ mà còn ảnh hưởng đến sức khỏe con người và môi trường. Quá trình đốt vàng mã sẽ phát tán bụi và các khí độc làm tổn hại sức khỏe con người cũng như môi trường không khí xung quanh. Việc đốt giấy vàng mã đã được chứng minh là tạo ra đáng kể các hạt bụi PM, kim loại nặng, PAHs, PCDD/Fs. Hơn nữa, nồng độ PAHs trong không khí xung quanh trong các lễ hội được quan sát là cao hơn nhiều lần so với những thời gian khác (Yu – Yun Lo et al., 2011). Ngoài ra, việc tiếp xúc lâu năm với giấy vàng mã có thể gây ra ảnh hưởng đến sức khỏe người dân. Theo báo cáo của Nee Kong chew và cộng sự (2003) về 2 trường hợp mắc phải bệnh Parkinson do tiếp xúc với giấy vàng mã trong 15 năm.
Hiện nay, một số quy định liên quan đến tập tục đốt vàng mã đã được ban hành tại Việt Nam như Nghị định số 28/2017/NĐ-CP; nghị định số 158/2013/NĐ-CP; Nghị định số 105/2012/NĐ-CP hay Nghị định số 75/2010/NĐ-CP về quy định xử phạt vi phạm hành chính trong hoạt động văn hóa ngày 12/07/2010. Các quy định này đến nay vẫn chưa phổ biến và vẫn còn rất nhiều người dân chưa biết đến, điều này dẫn tới việc thường xuyên vi phạm. Do đó, với mục tiêu làm rõ hơn những hành vi sử dụng vàng mã của người dân, tác giả đã triển khai đề tài với mục đích tìm hiểu những nguyên nhân quan trọng nhất gây ảnh hưởng đến người dân và đề ra những giải quyết phù hợp và hiệu quả hơn.
PHƯƠNG PHÁP NGHIÊN CỨU
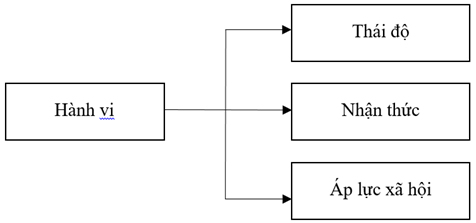
Thuyết hành vi dự định (The Theory of Planned Behavior - TPB) được phát triển từ thuyết hành động hợp lí (&, 1975) giả định rằng một hành vi có thể được dự báo hoặc giải thích bởi ý định hành vi để thực hiện hành vi đó. Lý thuyết này đã được Ajzen bổ sung từ năm 1991 bằng việc đề ra thêm yếu tố “Kiểm soát hành vi nhận thức”. Theo mô hình TPB, động cơ hay ý định là nhân tố thúc đẩy cơ bản của hành vi cá nhân. Động cơ hay ý định bị dẫn dắt bởi ba tiền tố cơ bản là “Thái độ” (Attitudes), “Áp lực xã hội” và “Kiểm soát hành vi nhận thức”. Mô hình TPB được xem như tối ưu trong việc dự đoán và giải thích hành vi của cá nhân trong những hoàn cảnh nghiên cứu cụ thể. Mô hình nghiên cứu đề xuất được dựa trên mô hình của TPB, nhưng có hiệu chỉnh để phù hợp với hướng nghiên cứu của đề tài. Giữ lại hai nhân tố nguyên thủy là Thái độ và Áp lực xã hội, nghiên cứu đề xuất thêm một nhân tố là Nhận thức.
Hình 1. Mô hình nghiên cứu đề xuất
.jpg)
Nghiên cứu sẽ được tiến hành qua 2 giai đoạn: Nghiên cứu định tính và nghiên cứu định lượng, trong đó:
- Nghiên cứu định tính sơ bộ: Dựa trên thang đo sơ bộ, tiến hành hỏi ý kiến chuyên gia để chỉnh sửa và bổ sung các câu hỏi cho phù hợp. Sau đó, khảo sát thử 10 người dân nhằm điều chỉnh câu hỏi và từ ngữ phù hợp hơn. Cuối cùng là chỉnh sửa hoàn thiện bảng hỏi bao gồm 24 biến quan sát, sử dụng thang đo Likert năm điểm (1: Hoàn toàn không đồng ý đến 5: Hoàn toàn đồng ý) được hình thành trước khi thực hiện khảo sát chính thức.
- Nghiên cứu định lượng chính thức: Được thực hiện bằng phương pháp định lượng thông qua khảo sát thực tế bằng bảng hỏi tại 4 phường của Quận 5. Thời gian thực hiện trong vòng một tháng (tháng 03 – 04/2019). Số lượng mẫu thu được là 125 mẫu phân bố đều trên tất cả các phường. Thang đo được kiểm định bằng phương pháp Cronbach’s Alpha, EFA.
Bảng 1. Thống kê mô tả mẫu khảo sát
.jpg)
KẾT QUẢ VÀ BÀN LUẬN
Phân tích nhân tố khám phá
Tiến hành phân tích nhân tố cho các biến độc lập gồm 21 biến quan sát. Kiểm định thang đo để đánh giá các giả thuyết ban đầu thông qua hai bước là kiểm tra độ tin cậy của thang đo bằng hệ số Cronbach’s Alpha và hệ số tương quan biến tổng. Mức ý nghĩa của hệ số Cronbachs’s Alpha: hệ số có giá trị biến thiên trong khoảng [0,1]. Chạy mô hình theo phương pháp Principal Component, phép quay Varimax (phương pháp xoay vuông góc và cố định góc) ta ra được 3 nhân tố khám phá:
Bảng 2. Kết quả phân tích nhân tố cho các biến độc lập
.jpg)
Kế đến, thực hiện phân tích cho nhân tố hành vi với 3 biến quan sát có Cronbach’s alpha= 0,826. Sử dụng phép trích Principal Component, phép quay Varimax. Kết quả hệ số KMO đạt yêu cầu (0,500) với sig =0,000 và tổng phương sai trích là 89,758%,
Phân tích ý nghĩa nhân tố
Nhân tố thứ nhất đặt tên là Nhận thức (F1) gồm năm (05) biến quan sát: NT2 (có biết khói vàng mã có nhiều chất độc hay không?), NT3 (đốt vàng mã gây ảnh hưởng đến chất lượng không khí), NT4 (đốt vàng mã gây ảnh hưởng đến sức khỏe người trực tiếp đốt), NT5 (đốt vàng mã ảnh hưởng đến sức khỏe của những người xung quanh), NT6 (đốt vàng mã là một trong những nguyên nhân gây ra một số bệnh về đường hô hấp), NT7 (quy định cấm đốt vàng mã nơi công cộng. Nhân tố thứ hai đặt tên là Áp lực xã hội (F2) gồm hai (02) biến quan sát: AL3 (đốt vàng mã do tác động từ mọi người xung quanh khu vực sống) và AL2 (đốt vàng mã do tác động từ người thân). Nhân tố thứ ba đặt tên là Thái độ (F3) gồm hai (02) biến quan sát: TD3 (có bị ảnh hưởng khi bị cấm đốt vàng mã hay không?) và TD2 (nếu có chính sách cắt giảm số lần đốt vàng mã, có cảm thấy khó chịu hay không?)
Phân tích hồi quy và sự tương quan
Kết quả phân tích hồi quy ta có: R2 = 0,276, nghĩa là mô hình phù hợp với điều kiện thực tế là 27,6%.
Kết quả cho thấy, chỉ có F3 là biến tác động lên biến phụ thuộc (sig < 0,05). Các biến F1, F2 có giá trị sig > 0,05 không đạt yêu cầu nên bị loại. Thái độ (F3) có ảnh hưởng mạnh nhất đến hành vi đốt vàng mã của người dân do có số hồi quy chuẩn hóa Beta = 0,432 lớn nhất. Nhân tố này gồm hai biến quan sát là TD2 – có hay không cảm thấy khó chịu nếu có những chính sách cắt giảm số lần đốt vàng mã và TD3 – có hay không bị ảnh hưởng nếu bị cấm đốt vàng mã.
Đối tượng nghiên cứu đa phần là những người ở độ tuổi trung niên, họ đã quen với việc đốt vàng mã cho những ngày cúng, giỗ hay các ngày vía. Hay phần vì tính chất công việc của họ nên bắt buộc phải sử dụng vàng mã. Vì tập tục đốt vàng mã đã được truyền từ đời này sang đời khác, với tâm lý cha truyền con nối, ông bà ngày xưa làm sao thì bây giờ con cháu phải làm như vậy. Do đó, tập tục đốt vàng mã được duy trì và tiến bộ hơn ở hiện tại với đa dạng những mặt hàng vàng mã từ tiền vàng cho đến nhà, xe, đồ gia dụng. Đa số những người được khảo sát đều cảm thấy bị ảnh hưởng nếu cắt giảm hay cấm hoạt động đốt vàng mã trong tương lai, mặc dù họ ý thức được việc đốt vàng mã sẽ mang lại những tác hại xấu cho môi trường cũng như sức khỏe của họ.
Đề xuất các giải pháp
Từ yếu tố ảnh hưởng nhất đến hành vi đốt vàng mã nghiên cứu đề xuất những giải pháp nhằm giảm thiểu hành vi đốt vàng mã của người dân như sau:
Thứ nhất, từng bước tuyên truyền cắt giảm số lần đốt vàng mã ở người dân. Vì tập tục này đã xuất hiện từ lâu đời, nên việc cấm ngay lập tức hầu như là không thể. Do đó, để hạn chế tập tục này, nên cần có những chiến dịch tuyên truyền lâu dài từng bước nhằm nâng cao nhận thức mọi người về tác hại cũng như sự lãng phí của việc đốt vàng mã thông qua các phương tiện truyền thông internet như báo online, Facebook, hay đưa vào các bản tin thời sự … Từng bước ở đây sẽ bắt đầu từ việc tuyên truyền người dân đốt vàng mã đúng nơi quy định, hạn chế sử dụng các loại vàng mã lớn như nhà, xe ô tô…, vàng mã cần được đốt trong lò đốt hay các thùng kim loại (có nắp đậy) giúp bảo đảm công tác phòng cháy, chữa cháy và hạn chế phát tán tro bụi. Tiếp theo sẽ là tuyên truyền người dân cắt giảm từ từ số lần đốt vàng mã trong một tháng, và dần dần sẽ loại bỏ việc sử dụng vàng mã ở người dân.
Thứ hai, nên vận động sự giúp đỡ từ các bậc Tăng, Ni, ban quản lý các đền, miếu trong việc tuyên truyền giảm thiểu việc đốt vàng mã ở nơi thờ tự đến người dân. Lồng ghép nội dung hạn chế đốt vàng mã trong các buổi thuyết giảng cho Phật tử. Bên cạnh đó, nên có những thông báo khuyến khích người dân đến viếng chùa hạn chế sử dụng vàng mã.
TÀI LIỆU THAM KHẢO
Martin Fishbein & Icek Ajzen (1975). Belief, Attitude, Intention and Behavior: An Introduction to Theory and Research (Addison-Wesley series in social psychology). Addison-Wesley Pub
Nguyễn Đình Thọ (2013). Giáo trình Phương pháp nghiên cứu khoa học trong kinh doanh. Nhà xuất bản Tài chính, Trường Đại học Kinh tế TP Hồ Chí Minh.
Hoàng Trọng, Chu Nguyễn Mộng Ngọc (2008). Phân tích dữ liệu nghiên cứu với SPSS, tập 1. NXB Hồng Đức.
Hồng Minh (2018). Cần loại bỏ tập tục đốt vàng mã (online), 20/01/2019.
TRẦN THÀNH
Viện Kỹ thuật Công nghệ cao NTT, Trường Đại học Nguyễn Tất Thành
TRƯƠNG THANH HIỀN, LÂM VĂN GIANG
Khoa Môi trường và Tài nguyên, Trường Đại học Bách khoa TP. Hồ Chí Minh
VÕ CAO HUY, ĐỖ THỊ THAO, LƯƠNG QUANG TƯỞNG, LÊ THỊ HỒNG DIỆP, HỒ HỮU LỘC
Khoa Kỹ thuật Thực phẩm và Môi trường, Trường Đại học Nguyễn Tất Thành