Từ cao ethanol của cây Ruột gà có khớp (Borreria articularis), ba hợp chất iridoid được phân lập bằng các kĩ thuật sắc kí. Cấu trúc của ba hợp chất này được xác định bằng phương pháp phổ NMR, bao gồm 6-O-methylscandoside methyl ester (1), 6-O-methyldeacetylasperulosidic acid methyl ester (2) và deacetylasperulosidic acid (3). Đây là lần đầu tiên hai hợp chất (1) và (2) được phát hiện có trong chi Borreria.
Giới thiệu
Borreria articularis (tên đồng nghĩa là Spermacoce articularis) là một trong những loài thuộc chi Borreria, họ Cà phê (Rubiaceae), phân bố rộng rãi ở các vùng nhiệt đới và cận nhiệt đới [1]. Lá của loài này được dùng để chữa trị các bệnh viêm mắt, nướu răng, sốt và tiêu chảy [1]. Nghiên cứu dược tính trên cao chiết từ loài này cho thấy rằng cây có tác dụng kháng khuẩn, kháng nấm và bảo vệ gan [1]. Một vài nghiên cứu trước đây về thành phần hóa học cho thấy cây có chứa một số hợp chất triterpenoid [2-4], steroid [2]. Tiếp theo nghiên cứu đây trên loài này [5], bài báo này trình bày việc phân lập và xác định cấu trúc của ba iridoid từ loài Borreria articularis được thu hái ở Phan Thiết, Bình Thuận.
Thực nghiệm
Thiết bị và hóa chất
Phổ cộng hưởng từ hạt nhân được ghi trên máy Bruker Avance III (tần số 500 MHz đối với phổ 1H NMR và 125 MHz với phổ 13C NMR). Sắc kí lớp mỏng TLC sử dụng bản mỏng silica gel F254, silica gel 60 RP-18 F245 (Merck), thuốc thử hiện vết là dung dịch acid sulfuric 20%, sấy nóng. Sắc kí cột (SKC) sử dụng silica gel 60 (0.040-0.063 mm, Merck) và silica gel RP-18 (Merck).
Nguyên liệu
Phần trên mặt đất của cây Ruột gà có khớp được thu hái tại vùng ven biển Phan Thiết, tỉnh Bình Thuận vào năm 2013 và được nhận danh bởi TS. Phạm Văn Ngọt, Khoa Sinh học, trường Đại học Sư phạm TP.Hồ Chí Minh.
Chiết tách và phân lập
Bột cây khô (15.1 kg) được ngâm chiết với ethanol ở nhiệt độ phòng (4x45 L), lọc lấy dịch chiết, cô quay đuổi ethanol dưới áp suất kém thu được cao ethanol thô (534.3 g). Thực hiện chiết lỏng-lỏng lần lượt với n-hexane, ethyl acetate trên cao ethanol thô thu được cao n-hexane (183.0 g), ethyl acetate (80.0 g). Phần dịch chiết ethanol-nước còn lại được đuổi dung môi, làm khô, thu được 240.7 g cao ethanol còn lại (Et). Thực hiện sắc kí cột silica gel trên cao ethanol Et này, sử dụng dung môi giải li có độ phân cực tăng dần, ethyl acetate-methanol (0-20% methanol), ethyl acetate-methanol-nước (16:4:1) thu được 12 phân đoạn (Et1-Et12). Từ phân đoạn Et7 (14.90 g), sắc kí cột silica gel với hệ dung môi giải ly ethyl acetate-methanol (0-100%) thu được bảy phân đoạn phụ (Et71-Et77). Phân đoạn phụ Et73 (2.09 g) cũng được sắc kí cột silica gel pha thường (dung môi giải li ethyl acetate-methanol-nước 16:4:1) kết hợp với sắc kí cột silica gel RP-18 (aceton-nước 4:1), thu được hai hợp chất 1 (5.0 mg) và 2 (5.6 mg). Phân đọan Et74 (1.37 g) cũng được sắc kí cột silica gel (ethyl acetate-methanol, 10-50% methanol), thu được hợp chất 3 (6.5 mg).
6-O-methylscandoside methyl ester (1): gum, không màu. Phổ 1H-NMR (D2O), δH ppm, J Hertz: 5.70 (1H, d, 3.0, H-1), 7.51 (1H, s, H-3), 3.31 (1H, d, 2.5, H-5), 4.33 (1H, brs, H-6), 5.95 (1H, s, H-7), 3.41 (1H, m, H-9), 4.35 (1H, d, 14.5, H-10a), 4.31 (1H, d, 15.5, H-10b), 3.48 (3H, s, 6-OCH3), 3.81 (3H, s, 11-O-CH3), 4.80 (1H, H-1¢), 3.31 (1H, dd, 9.0/8.0, H-2¢), 3.52 (1H, t, 9.0, H-3¢), 3.43 (1H, t, 9.0, H-4¢), 3.53 (1H, m, H-5¢), 3.97 (1H, dd, 12.0/2.0, H-6¢a), 3.77 (1H, dd, 12.5/6.0, H-6¢b). Phổ 13C NMR (D2O) được trình bày trong Bảng 1.
6-O-methyldeacetylasperulosidic acid methyl ester (2): gum, không màu. Phổ 1H NMR (D2O, δH ppm, J Hertz): 4.97 (1H, d, 9.0, H-1), 7.73 (1H, d, 1.0, H-3), 3.26 (1H, ddd,7.5/6.8/1.5, H-5), 4.54 (1H, dd, 6.5/1.5, H-6), 6.26 (1H, d, 1.5, H-7), 2.70 (1H, t, 8.0, H-9), 4.50, d (16.0, H-10a), 4.33, d (15.5, H-10b), 3.29 (3H, s, 6-OCH3), 3.82 (3H, s, 11-OCH3), 4.88 (1H, d, 8.0, H-1'), 3.42 (1H, dd, 8.5/8.0, H-2¢), 3.47 (1H, dd, 8.5.6.0, H-3¢), 3.45 (1H, dd, 8.5/6.0, H-4¢), 3.56 (1H, m, H-5¢), 3.74 (1H, dd, 12.5/4.5, H-6¢a), 3.91 (1H, dd, 12.5/2.5, H-6¢b). Phổ 13C NMR (D2O) được trình bày trong Bảng 1.
Deacetylasperulosidic acid (3): gum, không màu. Phổ 1H NMR (D2O, δH ppm, J Hertz): 5.01 (1H, d, 8.0, H-1), 7.59 (1H, s, H-3), 3.15 (1H, dd, 7.0/6.5), 4.91 (1H, dd, 7.0/1.5), 6.08 (1H, s, H-7), 2.69 (1H, t, 8.0, H-9), 4.50 (1H, d, 15.5, H-10a), 4.33 (1H, d, 15.5, H-10b), 4.89 (1H, d, 8.0, H-1¢), 3.41 (dd, 9.5/8.0, H-2¢), 3.56 (1H, t, 9.0, H-3¢), 3.45 (dd, 8.0/6.0, H-4¢), 3.47 (1H, m, H-5¢), 3.91 (1H, dd. 11.5/1.5, H-6¢a), 3.75 (1H, dd, 12.0/5.0, H-6¢b). Phổ 13C NMR (D2O) được trình bày trong Bảng 1.
Kết quả và thảo luận
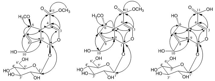
Hợp chất 1 được phân lập từ phân đoạn Et73 của cao ethanol, ở dạng gum, không màu. Phổ 1H NMR của hợp chất 1 thể hiện tín hiệu cộng hưởng của hai proton olefin ở δH 7.51 (1H, s, H-3), 5.95 (1H, s, H-7), một proton của nhóm acetal ở δH 5.70 (1H, d, J= 3.0 Hz, H-1), hai nhóm methine ở δH 3.41 (m, H-9), 3.32 (1H, d, J = 2.5 Hz, H-5), một nhóm oxymethine ở δH 4.33 (1H, brs, H-6), một nhóm oxymethylene ở δH 4.35 (1H, d, J = 14.5 Hz, H-10a), 4.31 (1H, d, 15.5, H-10b). Ngoài ra còn có tín hiệu của hai nhóm methoxy ở δH 3.48 (3H, s, 6-OCH3), 3.81 (3H, s, 11-O-CH3) và một phân tử đường hexose [một proton anomer ở δH 4.80 (1H, H-1¢) và các proton oxymethine trong vùng δH 3.97-3.30). Phổ 13C kết hợp với DEPT NMR và HSQC cho thấy hợp chất 1 có 18 carbon, bao gồm một carbon carboxyl ở δC 169.5 (C-11), bốn carbon olefin ở δC 152.7 (=CH-, C-3), 148.0 (=C<, C-8), 126.3 (=CH-, C-7), 109.2 (>C=, C-4), một carbon acetal ở δC 94.4 (C-1), một carbon oxymethine ở δC 88.5 (C-6), một nhóm oxymethylen ở δC 58.9 (C-10), hai nhóm methine ở δC 46.2 (C-9), 37.2 (C-5)] và một phân tử đường hexose [δC 98.0 (C-1¢), 72.6 (C-2¢), 75.6 (C-3¢), 69.5 (C-4¢), 76.3 (C-5¢) và 60.7 (C-6¢)]. Tương quan HMBC từ proton acetal dH 5.70 đến carbon olefin dC 152.7 (C-3), carbon methine dC 37.2 (C-5), proton olefin dH 7.51 cho tương quan HMBC đến C-11 , C-1. C-4 và C-5, proton olefin H-7 cho tương quan đến C-5 và C-9. Proton methine H-5 cho tương quan HMBC đến C-1, C-3 và C-11. Qua những dữ liệu NMR trên, dự đoán 1 là một iridoid có khung cyclopentanopyran [6]. Tương quan HMBC của proton nhóm methoxy ở dH 4.48 (3H, s) đến C-6 và proton ở dH 3.81 (3H, s) đến C-11 giúp xác định hai nhóm methoxy gắn ở C-6 và C-11. Phân tử đường hexose gắn qua C-1 được xác định thông qua tương quan HMBC từ H-1¢ đến C-1 và từ H-1 đến C-1¢ (Hình 1). Giá trị của hằng số ghép J1,9 = 3.0 Hz £ 5.0Hz, δC-1 94.4 < 97 ppm và D (dC-3 - dC-4) = 43.5 < 45 ppm cho phép dự đoán nhóm methoxy ở vị trí C-6 định hướng β [7]. Kết hợp so sánh với số liệu phổ NMR của hợp chất 6-O-methylscandoside methyl ester [8] cho thấy sự tương đồng, nên cấu trúc của hợp chất 1 được đề nghị là 6-O-methylscandoside methyl ester.
Hợp chất 2 được phân lập ở dạng gum, không màu. Phổ NMR của hợp chất 2 cho các tín hiệu cộng hưởng giống với NMR của hợp chất 1 (Bảng 1). Vị trí của hai nhóm methoxy được xác định gắn tại vị trí C-6 và C-11 dựa vào tương quan HMBC từ proton của nhóm methoxy ở dH 3.29 (3H, s) đến C-6 (dC 83.9), từ proton ở dH 3.82 (3H, s) đến C-11. Tương quan HMBC từ proton anomer H-1¢ đến C-1, cũng như H-1 đến C-1¢ giúp xác định phân tử đường hexose gắn qua C1 (Hình 1). Điểm khác biệt NMR trong hợp chất 2 là vị trí C-6 có dC6 83.9, giá trị hằng số ghép J1,9 = 9.0 Hz > 8.0Hz, δC-1 100.8 > 99 ppm và D (dC-3 - dC-4) = 48.2 > 47 ppm cho phép dự đoán nhóm methoxy ở vị trí C-6 định hướng α [7]. Hợp chất 2 được đề nghị là 6-O-methyldeacetylasperulosidic acid methyl ester [8].
Hợp chất 3 được phân lập từ phân đoạn Et74 cũng ở dạng gum, không màu. Phổ NMR của hợp chất 3 có nhiều điểm tương đồng với NMR của hợp chất 1 và 2 nên hợp chất 3 được dự đoán là iridoid có khung sườn cyclopentanopyran. Điểm khác biệt là phổ NMR của hợp chất 3 không có tín hiệu cộng hưởng của hai nhóm methoxy. Sự định hướng α của nhóm hydroxy tại vị trí C-6 được xác định dựa vào giá trị hằng số ghép J1,9 , δC-1 và δC-6. Khi J1,9 £ 5 Hz, δC-1 < 99 ppm, δC-6 » 81-83 ppm thì nhóm hydroxy định hướng b; J1,9 ³ 8 Hz, δC-1 > 99 ppm, δC-6 »74-76 ppm thì nhóm hydroxy định hướng α [7, 9, 10]. Trong phổ NMR của hợp chất 3, J1,9= 8.0 Hz, δC-1 100.5 ppm và δC-6 74.4 ppm nên nhóm hydroxy tại C-6 được định hướng α. So sánh với dữ liệu NMR trong tài liệu tham khảo [9, 10, 11], hợp chất 3 được đề nghị là deacetylasperulosidic acid.
Bảng 1. Số liệu phổ 13C NMR của các hợp chất 1-3 (D2O)
.jpg)
Ghi chú: * tín hiệu bị che khuất bởi tín hiệu của nước
Hình 1: Cấu trúc hóa học và một số tương quan HMBC của các hợp chất 1-3 được phân lập từ cây Ruột gà có khớp (Borreria articularis).
.jpg)
Kết luận
Từ cao ethanol còn lại sau khi đã chiết lỏng lỏng lần lượt với n-hexane và ethyl acetate cây Ruột gà có khớp (Borreria articularis), ba hợp chất iridoid (1-3) đã được phân lập. Cấu trúc của những hợp chất này được xác định là 6-O-methylscandoside methyl ester (1), 6-O-methyldeacetylasperulosidic acid methyl ester (2) và deacetylasperulosidic acid (3). Hợp chất (3) đã được phân lập trước đây từ hai loài Borreria latifolia và Borreria verticillata [1]. Hai hợp chất (1) và (2) lần đầu tiên được phát hiện có trong chi Borreria.
Tài liệu tham khảo
1. Conserva, L. M., & Ferreira, J. C., Jr., “Borreria and Spermacoce species (Rubiaceae): A review of their ethnomedicinal properties, chemical constituents, and biological activities”, Pharmacognosy reviews, 6(11), 46-55, 2012;
2. Mukherjee K. S., Manna T. K., Laha S. & Chakravorty C. K., “Phytochemical investigation of Borreria articularis Linn.”, Journal of the Indian Chemical Society, 70, 609-10, 1993;
3. Mukherjee KS, Manna TK, Laha S. & Brahmachari G. Chemical investigation of Limnophila heterophylla and Borreria articularis”, Journal of the Indian Chemical Society, 71, 655-6, 1994;
4. Mukherjee K. S., Mukhopadhyay B., Mondal S., Gorai D. & Brahmachari G., “Triterpenoid constituents of Borreria articularis”, Journal of the Chinese Chemical Society, 51, 229-31, 2004;
5. Nguyen T. A. T., Dang C. K. & Nguyen K. P. P., “Chemical constituents of Borreria articularis”, Journal of Science and technology (Vietnam academy of science and technology), 52(5B), 454-459, 2014;
6. Dinda B., Debnath S. & Harigaya Y., “Naturally occurring iridoids. A review, part 1”, Chem Pharm Bull., 55(2), 59-222, 2007;
7. Damtoft, S., Jenson, S. R. & Nielsen, B. J., “13C and1H NMR spectroscopy as a tool in the configurational analysis of iridoid glucosides”, Phytochemistry, 20, 2717-2723, 1981;
8. Machida K., Takehara E., Kobayashi H. & Kikuchi M., “Studies on the Constituents of Gardenia Species. III. New Iridoid Glycosides from the leaves of Gardenia jasminoides cv. fortuneana Hara”, Pharmaceutical Society of Japan, 51(12), 1417-1419, 2003;
9. Bianco, A., Passacantilli, P. & Pohdori, G.. “Reference Data 1H and 13CNMR data of C-6 epimeric iridoids”, Org. Magn. Res. 21, 460-461, 1983.
10. Tzakou O., Mylonas P., Vagias C. & Petrakis P. V., “Iridoid glucosides with insecticidal activity from Galium melanantherum”, Z Naturforsch C J Biosci., 62(7-8), 597-602, 2007;
11. Mitova M.I., Anchev M. E., Panev S. G., Handjieva N. V. & Popov S. S., “Coumarins and iridoids from Crucianella graeca, Cruciata glabra, Cruciata laevipes and Cruciata pedemontana (Rubiaceae)”, Z. Naturforsch., 51c, 631 -634, 1996.
ĐỖ THỊ MỸ LIÊN,
Viện Công nghệ Môi trường-Năng lượng, Đại học Sài Gòn
NGUYỄN THỊ ÁNH TUYẾT*
Khoa Hóa học, trường Đại học Sư phạm Thành phố Hồ Chí Minh