
Các kết quả nêu trên có ý nghĩa áp dụng cho việc định hướng và quyết định tổ chức khai thác các mỏ sa khoáng ven biển khác nhau có đặc điểm tương tự. Các tài liệu, tư liệu nêu trong báo cáo này được tổng hợp từ các kết quả nghiên cứu của các đề tài Khoa học Công nghệ cấp Nhà nước và các Dự án điều tra tai nguyên, môi trường và kinh tế- xã hội vùng Duyên hải Bắc Trung Bộ, Việt Nam.
Đặt vấn đề
Mỏ sa khoáng Kỳ Khang nằm trên địa phận xã Kỳ Khang, huyện Kỳ Anh, tỉnh Hà Tĩnh (Hình 1), là một trong những mỏ sa khoáng có hàm lượng và trữ lượng Ilmenit cao nhất vùng Duyên hải Việt Nam. Kết quả thăm dò trữ lượng cho thấy, mỏ Kỳ Khang gồm hai thân quặng sa khoáng ilmenite với trữ lượng dự báo: trữ lượng cấp C2+C1: Ilmenit: 2.036.000 tấn, Zircon: 142.300 tấn, trữ lượng khoáng ilmenits cấp C2+C1 đạt 1.567.000 tấn. [6]
Hình 1. Vị trí vùng khai thác sa khoáng Kỳ Khang, huyện Kỳ Anh, tỉnh Hà Tĩnh
Với tiềm năng sa khoáng như trên, việc khai thác sa khoáng đã và đang đóng góp đáng kể cho nền kinh tế địa phương, tạo việc làm cho hàng nghìn lao động,... Bên cạnh những lợi thế mà ngành khai khoáng mang lại cũng kéo theo những hệ lụy về mặt môi trường, hệ sinh thái, công tác quản lý, và những vấn đề xung đột môi trường xã hội xảy ra trong những vùng có hoạt động khai thác. Với những lợi ích cũng như những thách thức mà ngành công nghiệp này tạo ra đòi hỏi phải có những nghiên cứu cụ thể để hoạt động này đem lại hiệu quả bền vững, đó chính là phương pháp đánh giá chi phí - lợi ích (cost - benefit analysis) (Đánh giá chị phí- lợi ích (CBA) là phương pháp xác định và so sánh chi phí và lợi ích của một chương trình, chính sách, dự án để đánh giá dự án làm tăng hay giảm phúc lợi kinh tế của xã hội [1]) trong khai thác sa khoáng. Phương pháp đánh giá chi phí lợi ích đã được khá nhiều các nhà khoa học trong và ngoài nước thực hiện trong các nghiên cứu của mình như: Phạm Như Phương [4]; Dương Thị Xuyến [7], Campbell, H., and Brown [1]. Trong phạm vi nghiên cứu này, tập thể tác giả đánh giá chi phí - lợi ích trong khai thác sa khoáng của công ty Mitraco (công ty hiện đang được quyền khai thác trên diện tích 7.590.000 m2 (759ha) với trữ lượng tổng cộng 1.567.675 tấn trong thời gian 30 năm (1997-2027) theo Quyết định số 1078/QĐĐCKS ngày 19/07/1997 của Bộ Công nghiệp [3]) tại vùng mỏ Kỳ Khang, huyện Kỳ Anh, tỉnh Hà Tĩnh.
Phương pháp tính toán chi phí lợi ích của việc khai thác sa khoáng
Phân tích chi phí - lợi ích (cost - benefit analysis) (CBA) có vai trò cung cấp thông tin để: (1) Quyết định có nên đầu tư vào dự án hay không; (2) Cung cấp cơ sở để so sánh các phương án lựa chọn một dự án. Các chỉ tiêu sử dụng để tính toán bao gồm:
Giá trị hiện tại ròng, NPV (Net Present Value) là giá trị lợi ích ròng qua các năm đã được quy đổi về giá trị tiền tệ của năm cơ sở.
Trong đó: NPV: Giá trị hiện tại ròng; Bt: Lợi ích của dự án tại năm t; Ct: Chi phí phát sinh ở năm t; r: tỷ lệ chiết khấu; n: số năm thực hiện dự án
Phương án được quyết định là phương án có NPV dương, trong trường hợp có nhiều phương án lựa chọn thì phương án nào có NPV dương lớn nhất sẽ là phương án được ưu tiên để quyết định.
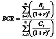
Tỷ lệ lợi ích- chi phí (BCR): Là tỷ lệ của tổng giá trị hiện tại của lợi ích so với tổng giá trị hiện tại của chi phí
Phương án được quyết định là phương án có BCR lớn hơn 1 (dự án có hiệu quả và có thể chấp nhận được), trong trường hợp có nhiều phương án khác nhau phải lựa chọn thì phương án được quyết định là phương án có BSR lớn hơn 1 lớn nhất.
Đối với phương pháp đánh giá chi phí và lợi ích mở rộng, chi phí và lợi ích được hiểu theo nghĩa rộng bao gồm cả chi phí và lợi ích về tài nguyên, môi trường và các thành viên khác trong xã hội.
Chi phí bao gồm: chi phí sản xuất (trực tiếp, gián tiếp, chiết khấu cơ sở vật chất, chiết khấu đồng tiền) và các chi phí cho môi trường (thuế và phí ô nhiễm, chi phí cơ hội, chi phí duy trì chất lượng tài nguyên,…)
Lợi ích bao gồm: Doanh số thu từ bán sản phẩm, các vấn đề phúc lợi xã hội; lợi ích về môi trường, xã hội; hiệu quả do giải quyết công ăn việc làm mang lại,…
Kết quả nghiên cứu và thảo luận
Tổng hợp kết quả sản xuất kinh doanh khai thác sa khoáng tại vùng mỏ Kỳ Khang, Hà Tĩnh
Từ những số liệu thu thập, lượng giá lợi ích của công ty khai thác sa khoáng được tính toán như sau:
Đánh giá, tính toán chi phí hoạt động khai thác sa khoáng tại vùng mỏ Kỳ Khang - Hà Tĩnh
Tổng chi phí hoạt động khai thác sa khoáng tại vùng mỏ Kỳ Khang bao gồm các loại chi phí chính sau: chi phí hoạt động; chi phí thiệt hai do hoạt động khai thác sa khoáng gây ra; chi phí thỏa thuận khắc phục ảnh hưởng hàng năm của Công ty Mitraco đến các ngành kinh tế khác và cơ sở hạ tầng đi lại. Các chi phí này có được trong báo cáo tài chính của công ty Mitraco [2]; kết quả điều tra của nhóm tác giả và được trình bày trong Bảng 1.
Bảng 1. Tổng hợp kết quả sản xuất kinh doanh của Công ty Mitraco
Kết quả phân tích chi phí - lợi ích mở rộng dự án khai thác sa khoáng titan mỏ Kỳ Khang
Từ kết quả lượng hóa lợi ích và chi phí ở trên, nhóm nghiên cứu tổng hợp và tính toán hiệu quả dự án khai thác sa khoáng titan mỏ Kỳ Khang thu được như sau (Bảng 2):
Bảng 2. Kết quả phân tích lợi ích – chi phí mở rộng dự án khai thác sa khoáng titan mỏ Kỳ Khang - Hà Tĩnh (Đơn vị tính: triệu đồng)
Như vậy, bằng phương pháp đánh giá chi phí - lợi ích mở rộng (có tính thêm các chi phí, lợi ích về môi trường- xã hội) đối với dự án khai thác sa khoáng titan của Công ty Mitraco, tập thể tác giả thu được các kết quả tính toán như sau: NPV = -6.920 triệu đồng; BCR = 0,99. Các kết quả trên cho thấy khi đưa các chi phí môi trường vào phân tích thì dự án khai thác sa khoáng titan của Công ty Mitraco giai đoạn vừa qua không có hiệu quả bởi không thỏa mãn các chỉ tiêu về tính khả thi thực hiện dự án đối với toàn xã hội.
Kết luận và kiến nghị
Phân tích chi phí lợi ích là phương pháp xác định và so sánh chi phí và lợi ích của một chương trình, chính sách, dự án để đánh giá dự án làm tăng hay giảm phúc lợi kinh tế của xã hội. CBA có vai trò cung cấp thông tin để đi đến quyết định có nên đầu tư vào dự án hay không, đồng thời cung cấp cơ sở để so sánh các phương án lựa chọn một dự án.
Kết quả tính toán cho thấy, nếu đưa thêm chi phí môi trường vào để phân tích thì dự án khai thác sa khoáng titan của Công ty Mitraco thời gian qua không có hiệu quả bởi không thỏa mãn các chỉ tiêu về tính khả thi thực hiện dự án đối với toàn xã hội: NPV = -6.920 triệu đồng; BCR = 0,99. Dưới góc độ xã hội, nhà quản lý không nên cho phép thực hiện dự án khai thác sa khoáng tại vùng mỏ Kỳ Khang, hoặc cần có những biện pháp quản lý tốt hơn nhằm đem lại hiệu quả cho dự án.
Đề nghị các cơ quan quản lý Nhà nước trước khi quyết định cho khai thác các mỏ sa khoáng Ti- Zr cần phải cho đánh giá dự báo chi phí- lợi ích, đặc biệt chi phí cho khắc phục môi trường.
Tài liệu tham khảo
1. Campbell, H., and Brown Benefit-Cost Analysis: Financial and Economic Appraisal Using Spreadsheets, Cambridge, (2003);
2. Công ty Khoáng sản và Thương mại Hà Tĩnh (Mitraco). Số liệu phòng tài chính kế toán;
3. Quyết định số 1078/ QĐĐCKS ngày 19/07/1997 của Bộ Công nghiệp
4. Đào Mạnh Tiến, Phạm Như Phương và nnk. Đánh giá chi phí lợi ích trong hoạt động khai thác khoáng sản vùng ven biển miền Trung. Lưu trữ Viện Tài nguyên Môi trường và Phát triển bền vững (2020- 2024);
5. Đào Mạnh Tiến, Đào Hương Giang và nnk. “Nghiên cứu, đánh giá mức độ ô nhiễm môi trường, suy thoái hệ sinh thái, xung đột môi trường, xã hội do hoạt động khai thác sa khoáng, cát, sỏi vùng ven biển và biển ven bờ miền Trung Việt Nam (từ Thanh Hóa đến Bình Thuận) và đề xuất giải pháp khai thác bền vững”. Mã số ĐTĐLCN. 31/16. (2020);
6. Nguyễn Quang Tuyến và nnk. Báo cáo kết quả quan trắc môi trường biển Nam Trung Bộ. Lưu trữ Tổng cục địa chất, Hà Nội (2005);
7. Dương Thị Xuyến và nnk. Phân tích chi phí lợi ích khai thác một số dạng tài nguyên quan trọng khu vực đới bờ tỉnh Bình Thuận. Tạp chí Khoa học ĐHQGHN: Các Khoa học Trái đất và Môi trường, Tập 33, Số 3 (2017).
TS. ĐÀO HƯƠNG GIANG1
1 Trường Đại học Kinh tế quốc dân
Nguồn: Tạp chí Tài nguyên và Môi trường số 21 (Kỳ 1 tháng 11) năm 2024