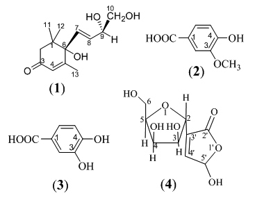
Boerhavia erecta là một loài thực vật nhiệt đới được sử dụng trong y học dân gian. Rễ của cây này được dùng làm thuốc lợi tiểu, nhuận tràng, trị giun sán, hạ nhiệt và long đờm. Thành phần hóa học của cây đã được báo cáo bao gồm các isoflavonoid như rotenoid và coumaronochromonoid. Là một phần trong quá trình tìm kiếm các chất ức chế a-glucosidase từ cây thuốc Việt Nam, chúng tôi đã tiến hành nghiên cứu bộ phận trên mặt đất của Boerhavia erecta. Phân đoạn EA5 của cao ethyl acetate được khảo sát và bốn hợp chất thiên nhiên tinh sạch được phân lập và xác định cấu trúc hóa học thông qua phổ cộng hưởng từ hạt nhân (NMR) và khối phổ (MS) cũng như so sánh với tài liệu tham khảo bao gồm: Cucumegastigmane I (1), 4-hydroxy-3-methoxybenzoic acid (2), 3,4-dihydroxybenzoic acid (3) và polybotrin (4).
Từ khóa: Nam sâm đứng, Boerhavia erecta.
Giới thiệu
Theo các nghiên cứu của các tác giả trên thế giới thì loài Boerhavia erecta được phân tích định tính và định lượng về thành phần hóa học có chứa betacyanin và các hợp chất phenolic.[1] Chiết xuất thực vật cho thấy hoạt tính chống sốt rét đáng kể trong thử nghiệm ức chế kéo dài 4 ngày ở chuột được tiêm tế bào hồng cầu được ký sinh bằng Plasmodium berghei.[2] Chiết xuất từ lá của B. erecta có tác dụng kháng viêm, kháng khuẩn và kháng nấm.[3,4,5]Cây Nam sâm đứng là một loài cây được phân bố rộng rãi ở nước ta, đây là loài cây chịu hạn, rất dễ sống và sự phát tán cũng như sự sinh sôi nảy nở rất dễ dàng. Với những hoạt tính rất hấp dẫn cũng như sự thuận lợi khi trồng trọt thì quả thật đây là nguồn dược liệu rất quý giá. Báo cáo này trình bày khảo sát thành phần hóa học của phân đoạn EA5 cao ethyl acetate của cây Nam sâm đứng và hoạt tính ức chế enzyme a-glucosidase đối với các hợp chất phân lập.
Thực nghiệm
Thiết bị và hóa chất
Phổ cộng hưởng từ hạt nhân đo trên máy Bruker 500 (500 MHz cho phổ 1H-NMR và 125 MHz cho phổ 13C-NMR). Phổ khối lượng MS đo trên máy Bruker microOTOF Q-II và máy X500R QTOF. Sắc kí cột sử dụng silica gel 60 (0,040-0,063 mm, Merck), gel Sephadex LH-20 (GE Healthcare Bio-Sciences AB, Sweden). Sắc kí lớp mỏng silica gel F254 (Merck). Các hóa chất dùng cho quá trình chiết và sắc kí là ethanol (EtOH), methanol (M), n-hexane (H), chloroform (C), ethyl acetate (EA) được cung cấp bởi hãng Chemsol.
Nguyên liệu
Cây Nam sâm đứng được thu hái tại Thủ Đức, Việt Nam. Mẫu tiêu bản thực vật (Số hiệu SGU-A011) được lưu trữ tại Phòng thí nghiệm Lý-Hóa-Sinh thuộc Khu liên phòng thí nghiệm, Đại học Sài Gòn.
Chiết tách và phân lập
Thân của cây Nam sâm đứng được rửa sạch và phơi khô. Thân cây khô được nghiền thành bột (4,0 kg) và ngâm trong ethanol (5×12L), phần dịch lọc được thu hồi dưới áp suất thấp, thu được cao ethanol thô (350,0 g). Cao ethanol thô được thực hiện chiết lỏng - lỏng lần lượt với các dung môi n-hexane, ethyl acetate, thu hồi dung môi phần dịch chiết dưới áp suất thấp, thu được cao n-hexane (62,0 g), cao ethyl acetate (50,0 g) và phần dịch chiết còn lại. Cao ethyl acetate (50,0 g) được tiến hành sắc kí cột silica gel pha thường, với hệ dung môi giải ly là H:EA (80:20 - 0:100, v/v), tiếp theo với hệ dung môi EA: M (90:10 - 0:100, v/v). Căn cứ vào kết quả sắc kí lớp mỏng, cao ethyl acetate của cây Nam sâm đứng được phân chia làm 8 phân đoạn (EA1 - EA8).
Thực hiện sắc kí cột phân đoạn EA5 (6,5 g), giải ly với H:EA (70:30 - 0:100, v/v), EA: M (50:50, v/v) thu được sáu phân đoạn (EA5.1 - EA5.6). Phân đoạn EA5.2 (2,1 g) được sắc kí cột silica gel pha thường với hệ giải ly H:EA (60:40,v/v), sau đó sắc kí cột gel Sephadex LH-20 với dung môi C:M (1:4, v/v) thu được hợp chất 1 (6,0 mg) và hợp chất 2 (8,0 mg). Phân đoạn EA5.4 (1,3 g) được sắc kí cột silica gel pha thường với hệ giải ly H:EA (60:40, v/v), sau đó sắc kí cột gel Sephadex LH-20 với dung môi C:M (1:4, v/v) thu được hợp chất 3 (8,0 mg) và hợp chất 4 (6,0 mg).
Cucumegastigmane I (1): Dạng sáp màu trắng. +127 (c 0,001; MeOH).
4-Hydroxy-3-methoxybenzoic acid(2): Tinh thể hình kim màu trắng. Khối phổ HR-ESI-MS m/z 191,0310 [M+Na]+, (tính toán lý thuyết C8H8O4 191,0320).
3,4-Dihydroxybenzoic acid (3): Tinh thể hình kim màu trắng.
3-[3,4-Dihydroxy-5-(hydroxymethyl) tetrahydrofuran-2-yl]-5-hydroxyfuran-2(5H)-one (hay polybotrin) (4): bột vô định hình màu trắng.
Thử nghiệm hoạt tính ức chế enzyme a-glucosidase
Phương pháp xác định hoạt tính ức chế enzyme a-glucosidase được thực hiện trên đĩa 96 giếng. Mẫu thử được pha loãng thành một dãy các nồng độ 256,0; 51,2; 10,24 và 2,05 ìg/ml hoặc pha loãng tiếp với mẫu có hoạt tính nhỏ hơn. Acarbose được dùng làm chất tham khảo. Các thành phần phản ứng bao gồm: Phosphate buffer 100 mM, pH 6,8, a-glucosidase 0,2 U/ml, mẫu thử và p-nitrophenyl a-D-glucopyranoside 2,5 mM. Ở mẫu đối chứng, mẫu thử được thay bằng đệm phản ứng. Thí nghiệm được ủ ở nhiệt độ 370C. Sau 30 phút, phản ứng được dừng bằng Na2CO3. Độ hấp thụ của phản ứng được xác định trên máy BIOTEK với bước sóng 410 nm (A). Khả năng ức chế enzyme a-glucosidase của mẫu thử được xác định bằng công thức:
Độ ức chế (%) = [A(đối chứng) - A(mẫu thử)]/ A(đối chứng) x 100%
IC50 là nồng độ chất ức chế 50% hoạt động của enzyme a-glucosidase, được tính bằng phần mềm Tablecurve.
Kết quả và thảo luận
Biện luận cấu trúc
Hợp chất 1
Phổ 1H-NMR (DMSO-d6, 500 MHz) của hợp chất (1) thể hiện tín hiệu của một proton vinyl tại dH 5,88 (s, H-4), hai proton olefin có cấu hình trans tại dH [5,88 (1H, dd, 15,5; 1,0 Hz,H-7) và 5,80 (1H, dd, 15,5; 5,5 Hz; H-8)]; một nhóm oxymethine tại dH 4,19 (1H, dd, 10,5; 5,5 Hz; H-9) và hai proton oxymethylene tại dH [3,50 (1H, dd, 11,0; 5,0, H-10); 3,46 (1H, dd, 11,0; 5,0, H-10)]; một nhóm methylene không gắn với oxygen tại dH [2,52 (1H, d, 17,0 Hz, H-2) và 2,17 (1H, d, 17,0 Hz, H-2)]; ba nhóm methyl bao gồm một nhóm methyl ở dH 1,92 (3H, d, 1,5 Hz, H-13) bị giảm chắn chứng tỏ nhóm này gắn với nối đôi và hai nhóm methyl cùng gắn trên một carbon tại dH [1,04 (3H, s, H-11) và 1,02 (3H, s, H-12)] ở vùng từ trường cao.
Phổ 13C-NMR của 1 thể hiện 13 tín hiệu ứng với 13 carbon của khung sườn terpenoid một tín hiệu carbonyl tại dC 201,3; bốn tín hiệu carbon olefin tại dC [167,3 (C-5); 132,6 (C-7); 132,5 (C-8) và 127,2 (C-4)]; một tín hiệu carbon tứ cấp gắn oxygen tại dC 80,2 (C-6); một nhóm methine gắn oxygen tại dC73,6 (C-9); một nhóm methylene gắn oxygen tại dC 67,3 (C-10); một nhóm methylene không gắn oxygen tại dC50,7 (C-2) và một carbon tứ cấp tại dC 42,4 (C-1). Các tín hiệu này giúp đề nghị hợp chất 1 có khung sườn 6,9-dihydroxymegastigmane-4,7-diene-3-one thuộc nhóm megastigmane.
So sánh góc quay năng lực triền quang của hợp chất 1 với hợp chất cucumegastigmane I trong tài liệu tham khảo [6] giúp xác định cấu hình của C–6 và C–9. Trên cơ sở dữ liệu này, cấu trúc của 1 được đề nghị là (6S,7E,9S)-6,9,10-trihydroxy-4,7-megastimadien-3-one hoặc cucumegastigmane I. Dữ liệu phổ NMR của 1 được trình bày trong Bảng 2.
Hợp chất 2
Công thức phân tử của hợp chất 2 được xác định là C8H8O4 thông qua mũi ion giả phân tử HR-ESI-MS m/z191,0310 [M+Na]+.
Phổ 1H-NMR của 2 cho thấy sự có mặt của một vòng benzen tam hoán [1,3,4] được xác nhận bằng hệ thốngtín hiệu dạng ABX tại dH [7,45 (1H, d, 1,0 Hz, H-2); 7,32 ( 1H, d, 8,0; 1,5 Hz, H-6) và 6,69 (1H, d, 8,0 Hz, H-5)].
Phổ 13C-NMR thể hiện tám tín hiệu ứng với tám carbon trong đó có một tín hiệu carbon carbonyl xuất hiện tại dC 169,5; ba tín hiệu carbon tứ cấp hương phương tại dC [147,8 (C-4); 146,3 (C-3); 130,9 (C-1)]; ba tín hiệu carbon methine hương phương tại dC [122,3 (C-6); 114,1 (C-5); 113,3 (C-2)]; một tín hiệu nhóm methoxy tại dC 55,4.
Kết hợp các dữ liệu phổ của hợp chất 2 và so sánh tài liệu tham khảo[7] nhận thấy có sự tương đồng nêncấu trúc của hợp chất 2 được đề nghị là 4-hydroxy-3-methoxybenzoic acid. Dữ liệu phổ NMR của 2 được trình bày trong Bảng 3.
Bảng 1. Hoạt tính ức chế enzyme a-glucosidase của hợp chất 1 - 4.
.jpg)
Hợp chất 3
Phổ 1H-NMR của 3 vẫn cho thấy sự có mặt của một hệ vòng benzen tam hoán 1,3,4, được xác nhận bằng hệ thống ABX tại dH [7,33 (1H, d, 1,5 Hz; H-2); 7,21 ( 1H, d, 8,0; 1,5 Hz, H-6) và 6,64 (1H, d, 8,0 Hz; H-5)]. Phổ 13C-NMR của 3 cho thấy có bảy carbon trong đó có và một carbon carbonyl, ba carbon methine và ba carbon tứ cấp. Phổ 13C-NMR của 3 có dạng tương đồng với phổ NMR của hợp chất 2, sự khác biệt của 3 so với 2 đó là sự mất đi một tín hiệu của một nhóm methoxy, nhưng vẫn xuất hiện hai tín hiệu carbon hương phương tứ cấp gắn oxygen tại dC [144,6 (C-3); 148,2 (C-4)]. Do đó, cấu trúc của hợp chất 3 được đề xuất là 3,4-dihydroxybenzoic acid.[7] Dữ liệu phổ NMR của hợp chất 3 được trình bày trong Bảng 3.
Hợp chất 4
Phổ 13C-NMR của chất 4 thể hiện chín tín hiệu bao gồm một carbon carbonyl tại dC 163,1; một carbon olefin tứ cấp tại dC 150,7 (C-3’); một carbon methine olefin tại dC 140,7 (C-4’); năm carbon methine gắn oxygen tại dC [101,7 (C-5’); 87,7 (C-2); 84,8 (C-5); 73,5 (C-3) và 69,9 (C-4)]; một carbon methylene gắn oxygen tại dC 60,9 (C-6).
Phổ 1H-NMR thể hiện tín hiệu của năm proton methine tại dH [7,87 (1H, d, 8,5 Hz, H-4’); 5,77 (1H, d, 5,5 Hz, H-2); 5,64 (1H, d, 8,0; 2,0 Hz, H-5’); 4,02 (1H, d,11,0; 5,5 Hz, H-3); 3,95 (1H, d, 9,0; 4,5 Hz, H-4) và 3,83 (1H, dd, 4,0; 3,0 Hz, H-5)]; hai tín hiệu mũi đa của một nhóm methylene gắn oxygen tại dH [3,61 (m) và 3,54 (m)]. Dữ liệu NMR này gợi ý hợp chất 4 có cấu trúc polyhydroxyl furanosyl. Mối tương quan giữa tín hiệu proton H-2 với carbon a, b của vòng a-lacton bất bão hòa [C-3’ (150,7) và C-4’ (140,7)] trên phổ HMBC đã xác nhận liên kết giữa mảnh furanosyl với vòng a-lacton tại C-2. Với các dữ liệu phổ này, cấu trúc của hợp chất 4 được đề nghị là 3-[3,4-dihydroxy-5-(hydroxymethyl) tetrahydrofuran-2-yl]-5-hydroxyfuran-2(5H)-one hoặc polybotrin.[8] Dữ liệu phổ NMR của 4 được trình bày trong Bảng 3.
Kết quả hoạt tính ức chế enzyme a-glucosidase Bốn hợp chất tinh sạch phân lập từ phân đoạn EA5 cao ethyl acetate của loài Nam sâm đứng được khảo sát hoạt tính ức chế enzyme a-glucosidase. Giá trị IC50 (Bảng 1) cho thấy các hợp chất đều thể hiện hoạt tính tốt.
Hình 1: Cấu trúc hóa học của các hợp chất 1 - 4
.jpg)
Bảng 2: Dữ liệu phổ NMR của hợp chất 1
.jpg)
Bảng 3: Dữ liệu phổ NMR của các hợp chất 2-4
.jpg)
Kết luận
Bốn hợp chất cucumegastigmane I (1), 4-hydroxy-3-methoxybenzoic acid (2), 3,4-dihydroxybenzoic acid (3) và polybotrin (4) lần đầu được phân lập từ loài Nam sâm đứng. Cấu trúc của các hợp chất này được xác định dựa vào dữ liệu phổ cộng hưởng từ hạt nhân NMR, khối phổ MS và so sánh với tài liệu tham khảo. Hoạt tính ức chế enzyme a-glucosidase được thử nghiệm với cả bốn mẫu trên, các hợp chất đều cho kết quả đáng chú ý. Vì vậy, loài Nam sâm đứng là một đối tượng nghiên cứu hấp dẫn cần được tiếp tục khảo sát trong tương lai.
Tài liệu tham khảo
1. Stintzing F.C., Kammerera D., Schiebera A., Adamab H., Odile G., Nacoulmab O.G., Carlea R.. Betacyanins and phenolic compounds from Amaranthus spinosus L. and Boerhaavia e recta L.. Zeitschrift Naturforsch, 2003, 59c, 1 - 8.
NGUYỄN THỊ MỸ HƯƠNG*, ĐỖ THỊ MỸ LIÊN
Trường Đại học Sài Gòn, Thành phố Hồ Chí Minh, Việt Nam
Nguồn: Tạp chí Tài nguyên và Môi trường số 5 năm 2024